Forxiga (Bula do profissional de saúde)
ASTRAZENECA DO BRASIL LTDA
IDENTIFICAÇÃO DO MEDICAMENTO
Forxiga
dapagliflozina
Comprimidos 5 mg e 10 mg
FORMA FARMACÊUTICA E APRESENTAÇÃO:
Comprimidos revestidos
Embalagens com 14 ou 30 comprimidos
USO ORAL
USO ADULTO
COMPOSIÇÃO:
Cada comprimido de Forxiga 5 mg contém:
| dapagliflozina propanodiol (equivalente a 5 mg de dapagliflozina) | 6,15 mg |
| excipiente q.s.p. | 1 comprimido |
Excipientes: celulose microcristalina, lactose, crospovidona, dióxido de silício, estearato de magnésio, álcool polivinílico, dióxido de titânio, macrogol, talco e óxido de ferro amarelo.
Cada comprimido de Forxiga 10 mg contém:
| dapagliflozina propanodiol (equivalente a 10 mg de dapagliflozina) | 12,30 mg |
| excipiente q.s.p. | 1 comprimido |
Excipientes: celulose microcristalina, lactose, crospovidona, dióxido de silício, estearato de magnésio, álcool polivinílico, dióxido de titânio, macrogol, talco e óxido de ferro amarelo.
INFORMAÇÕES TÉCNICAS AOS PROFISSIONAIS DE SAÚDE
INDICAÇÕES
Diabetes mellitus tipo 2
Monoterapia: Forxiga é indicado como adjuvante à dieta e exercícios para melhora do controle glicêmico em pacientes com diabetes mellitus tipo 2.
Combinação: Forxiga é indicado em pacientes com diabetes mellitus tipo 2, para melhora do controle glicêmico, em combinação com metformina; uma tiazolidinediona; uma sulfonilureia; um inibidor da DPP4 (com ou sem metformina); metformina e uma sulfonilureia, ou insulina (isolada ou com até duas medicações antidiabéticas orais), quando a terapia existente juntamente com dieta e exercícios não proporciona controle glicêmico adequado.
Combinação inicial: Forxiga é indicado como terapia de combinação inicial com metformina, como adjuvante à dieta e prática de exercícios, para melhora do controle glicêmico em pacientes com diabetes mellitus tipo 2, quando ambas as terapias com dapagliflozina e metformina são apropriadas.
Forxiga é indicado para prevenção de desenvolvimento ou agravamento de insuficiência cardíaca ou morte cardiovascular e para a prevenção de desenvolvimento ou agravamento de nefropatia em pacientes com diabetes mellitus tipo 2.
Insuficiência cardíaca
Forxiga é indicado para o tratamento de insuficiência cardíaca com fração de ejeção reduzida em pacientes adultos.
Doença renal crônica
Forxiga é indicado para o tratamento de doença renal crônica em pacientes adultos.
Limitações de uso
Forxiga não é indicado para uso por pacientes com diabetes mellitus tipo 1. Forxiga não deve ser utilizado para o tratamento de cetoacidose diabética.
RESULTADOS DE EFICÁCIA
Informação dos estudos clínicos para diabetes mellitus tipo 2
Mais de 28.000 pacientes foram incluídos em 22 estudos clínicos controlados e duplo-cegos para diabetes tipo 2, realizados para avaliar a segurança e a eficácia de Forxiga. Mais de 15.000 pacientes nestes estudos foram tratados com Forxiga.
Forxiga foi estudado em monoterapia e em combinação com metformina (com ou sem sulfoniluréia), sulfoniluréia (glimepirida), tiazolidinediona (pioglitazona), sitagliptina (com ou sem metformina), saxagliptina e metformina ou insulina (com ou sem outra terapia antidiabética oral).
Estudos dedicados de eficácia e segurança glicêmica de Forxiga foram realizados em pacientes com diabetes tipo 2 e doença cardiovascular (DCV), com diabetes tipo 2 e hipertensão e com diabetes tipo 2 e insuficiência renal moderada.
Um grande estudo de desfechos CV (DECLARE) avaliou o efeito da dapagliflozina nos desfechos CV e renais em pacientes com diabetes mellitus tipo 2, com ou sem doença CV estabelecida.
Eficácia glicêmica
O tratamento com Forxiga em monoterapia, como terapia de combinação com metformina (com ou sem sulfanilureia), sulfanilureia (glimepirida), tiazolinediona (pioglitazona), sitagliptina (com ou sem metformina), saxagliptina e metformina ou insulina (com ou sem outra terapia antidiabética oral) proporcionou melhoras clinicamente relevantes e estatisticamente significativas na alteração média em relação ao basal na semana 24 da hemoglobina A1c (HbA1c), glicemia de jejum (GPJ) e glicemia pós-prandial de 2 horas (GPP) (quando medida) em comparação ao controle. O tratamento com Forxiga em terapia de combinação inicial com saxagliptina em complemento à metformina apresentou melhoras clinicamente relevantes e estatisticamente significativas na alteração média em relação ao basal na semana 24 da HbA1c em comparação ao controle.
Esses efeitos glicêmicos clinicamente relevantes foram mantidos em todas as extensões de longo prazo de até 208 semanas. Foram observadas reduções na HbA1c em todos os subgrupos, incluindo sexo, idade, raça, duração da doença e IMC basal.
Adicionalmente, na semana 24, foram observadas reduções clinicamente relevantes e estatisticamente significativas nas alterações médias em relação ao basal do peso corporal nos tratamentos combinados com Forxiga quando comparado ao controle. As reduções de peso corporal se mantiveram nas extensões de longo prazo de até 208 semanas. Em um estudo clínico específico, a redução de peso foi atribuída principalmente a uma redução da massa de gordura corporal medida por absortometria radiológica de dupla energia (DXA).
Em dois estudos de Forxiga 10 mg em pacientes com diabetes tipo 2 e com doença cardiovascular, houve melhora estatisticamente significativa na HbA1c e na redução do peso corporal e da pressão arterial sistólica na posição sentada na semana 24, em pacientes tratados com Forxiga 10 mg em comparação com pacientes tratados com placebo. Esses resultados foram sustentados até a semana 104.
Em dois estudos de Forxiga 10 mg realizados com pacientes com diabetes tipo 2 e hipertensão, reduções estatisticamente significativas da média da pressão arterial sistólica na posição sentada também foram observadas em pacientes que receberam Forxiga 10 mg combinados a outros tratamentos antidiabéticos orais e tratamentos anti-hipertensivos comparados àqueles que receberam placebo na semana 12 (um estudo foi realizado com inibidor de ECA ou BRA e um estudo foi realizado com inibidor de ECA ou BRA associado a outro anti-hipertensivo).
Forxiga foi avaliado na dose de 10 mg uma vez ao dia em 19 dos 21 estudos duplo-cego de eficácia glicêmica. As doses de dapagliflozina 2,5 mg e Forxiga 5 mg também foram avaliadas em alguns desses estudos; a dose 2,5 mg não foi consistentemente efetiva para o controle glicêmico e 10 mg apresentou eficácia numérica melhor e segurança comparável a Forxiga 5 mg.
Monoterapia
Um total de 840 pacientes nunca tratados para diabetes tipo 2 e inadequadamente controlada participou de dois estudos placebo-controlado para avaliar a eficácia e segurança da monoterapia com Forxiga.
Em um estudo de monoterapia, um total de 558 pacientes nunca tratados para diabetes e inadequadamente controlada participou de um estudo de 24 semanas com um período de extensão de 78 semanas, controlado e cego. Após um período introdutório de 2 semanas com placebo, dieta e exercícios, 485 pacientes com HbA1c ≥ 7% e ≤ 10% foram randomizados à dapagliflozina 2,5 mg, Forxiga 5 mg ou 10 mg uma vez ao dia, pela manhã (coorte principal) ou noite, ou placebo apenas pela manhã.
Na semana 24, o tratamento com Forxiga 10 mg uma vez ao dia pela manhã proporcionou melhora significativa na HbA1c e glicemia de jejum em comparação com placebo (ver Tabela 1, Figura 1). No geral, a administração noturna de Forxiga apresentou um perfil de segurança e eficácia comparável à administração de Forxiga pela manhã. A alteração média ajustada em relação ao basal de HbA1c e glicemia de jejum foram de -0,61% e -27,0 mg/dL, respectivamente, na semana 102 no grupo que recebeu o tratamento uma vez ao dia pela manhã com Forxiga 10 mg, e -0,17% e -6,9 mg/dL, respectivamente, para pacientes tratados com placebo com base na análise longitudinal de medidas repetidas, excluindo-se os dados após o resgate.
A proporção de pacientes no coorte principal que foram resgatados ou descontinuados por ausência de controle glicêmico na semana 24 (ajustado para HbA1c basal) foi mais alta para o placebo (12,0%) do que para Forxiga 10 mg (0,0%). Na semana 102 (ajustado em relação ao basal de HbA1c), mais pacientes tratados com placebo (44,0%) necessitaram de terapia de resgate do que pacientes tratados com Forxiga 10 mg (35,0%).
Tabela 1. Resultados na semana 24 (LOCF*) em um estudo placebo-controlado de monoterapia com Forxiga em pacientes com diabetes tipo 2 (coorte principal – doses pela manhã)
|
Parâmetro de eficácia |
Forxiga 10 mg |
Placebo |
|
HbA1c (%) |
||
|
Basal (média) |
8,01 |
7,79 |
|
Alteração em relação ao basal (média ajustada‡) |
-0,89 |
-0,23 |
|
Diferença em relação ao placebo (média ajustada‡) |
-0,66§ |
|
|
Porcentagem de pacientes que atingiu HbA1c <7% ajustada para o basal |
50,8%¶ |
31,6% |
|
Alteração em relação ao basal na HbA1c em pacientes com HbA1c basal ≥9% (média ajustada‡) |
-2,04¶ |
0,19 |
|
Glicemia de jejum (mg/dL) |
||
|
Basal (média) |
166,6 |
159,9 |
|
Alteração em relação ao basal (média ajustada‡) |
-28,8 |
-4,1 |
|
Diferença em relação ao placebo (média ajustada‡) |
-24,7§ |
|
|
Peso corporal (kg) |
||
|
Basal (média) |
94,13 |
88,77 |
|
Alteração em relação ao basal (média ajustada‡) |
-3,16 |
-2,19 |
|
Diferença em relação ao placebo (média ajustada‡) |
-0,97 |
|
* LOCF: última observação (antes do resgate dos pacientes) levada adiante.
† Todos os pacientes randomizados que tomaram pelo menos uma dose da medicação do estudo duplo-cego durante o período de curto prazo duplo-cego.
‡ Média dos quadrantes mínimos ajustada para o valor basal.
§ valor de p <0,0001 versus placebo.
¶ Não avaliado para significância estatística como resultado do procedimento de teste sequencial para desfechos secundários.
Figura 1: Média ajustada em relação ao basal ao longo do tempo (LOCF) de HbA1c (%) em um estudo placebo-controlado de Forxiga como monoterapia de 24 semanas em pacientes com diabetes tipo 2 (Grupo 1 – doses pela manhã)
Outro estudo de monoterapia com duração de 24 semanas que avaliou dapagliflozina 1 mg, 2,5 mg, e Forxiga 5 mg versus placebo também mostrou melhora clinicamente relevante e estatisticamente significativa nos parâmetros glicêmicos e peso corporal.
Terapia de combinação
Forxiga foi estudado em terapia de combinação inicial com metformina, em combinação com metformina, sulfonilureias (glimepirida), metformina mais uma sufonilureia, tiazolidinedionas (pioglitazona), insulina (com ou sem outras terapias antidiabéticas orais), sitagliptina (com ou sem metformina) ou saxagliptina mais metformina, e como terapia de combinação inicial com saxagliptina adicionada à metformina.
Terapia de combinação à metformina
Foram conduzidos quatro estudos de combinação com metformina. Dois estudos avaliaram Forxiga em combinação com a metformina como terapia de combinação inicial, um estudo avaliou o efeito de Forxiga adicionado à metformina em pacientes já recebendo metformina e um estudo avaliou o efeito de Forxiga em combinação com a metformina versus sulfonilureia em combinação com metformina.
Terapia de combinação inicial com metformina
Um total de 1236 pacientes nunca tratados para diabetes tipo 2, inadequadamente controlada (HbA1c ≥7,5% e ≤12%), participou de dois estudos com controle ativo com duração de 24 semanas para avaliar a eficácia e segurança da terapia de combinação inicial com Forxiga 5 mg ou 10 mg e metformina em formulação de liberação prolongada (XR).
Em um estudo, 638 pacientes randomizados a um de três braços de tratamento após um período introdutório de uma semana receberam Forxiga 10 mg mais metformina XR (até 2000 mg por dia), Forxiga 10 mg mais placebo ou metformina XR (até 2000 mg por dia) mais placebo. A dose de metformina XR foi titulada semanalmente com aumento de 500 mg, de acordo com a tolerância, com uma dose média atingida de 2000 mg.
O tratamento de combinação de Forxiga 10 mg com metformina XR forneceu melhorias significativas na HbA1c e glicemia de jejum em comparação a qualquer um dos tratamentos de monoterapia e reduções significativas no peso corporal em comparação com metformina XR sozinha (ver Tabela 2 e Figuras 2 e 3). Forxiga 10 mg como monoterapia também proporcionou melhoria significativa na glicemia de jejum e redução de peso corporal em comparação a metformina XR sozinha e foi não inferior à monoterapia com metformina XR na redução da HbA1c. A proporção de pacientes que foram resgatados ou descontinuados por falta de controle glicêmico durante o período de tratamento duplo-cego de 24 semanas (ajustada para HbA1c basal) foi mais alta no tratamento com metformina XR mais placebo (13,5%) do que com Forxiga 10 mg mais placebo e Forxiga 10 mg mais metformina XR (7,8% e 1,4%, respectivamente).
Tabela 2. Resultados na semana 24 (LOCF*) de um estudo ativo-controlado da terapia de combinação inicial de Forxiga com metformina XR
|
Parâmetro de Eficácia |
Forxiga 10 mg + metformina XR |
Forxiga 10 mg |
metformina XR |
|
HbA1c (%) |
|||
|
Basal (média) |
9,10 |
9,03 |
9,03 |
|
Alteração em relação ao basal (média ajustada‡) |
-1,98 |
-1,45 |
-1,44 |
|
Diferença em relação à Forxiga (média ajustada‡) |
-0,53§ |
|
|
|
Diferença em relação à metformina XR (média ajustada‡) |
-0,54§ |
-0,01¶ |
|
|
Porcentagem de pacientes que atingiram HbA1c <7% ajustada para o basal |
46,6%# |
31,7% |
35,2% |
|
Alteração em relação ao basal in HbA1c em pacientes com HbA1c basal ≥9% (média ajustada‡) |
-2,59# |
-2,14 |
-2,05 |
|
Glicemia de jejum (mg/dL) |
|||
|
Basal (média) |
189,6 |
197,5 |
189,9 |
|
Alteração em relação ao valor basal (média ajustada‡) |
-60,4 |
-46,4 |
-34,8 |
|
Diferença em relação ao Forxiga (média ajustada‡) |
-13,9§ |
|
|
|
Diferença em relação à metformina XR (média ajustada‡) |
-25,5§ |
-11,6# |
|
|
Peso Corporal (kg) |
|||
|
Basal (média) |
88,56 |
88,53 |
87,24 |
|
Alteração em relação ao basal (média ajustada‡) |
-3,33 |
-2,73 |
-1,36 |
|
Diferença em relação à metformina XR (média ajustada‡) |
-1,97§ |
-1,37§ |
|
* LOCF: última observação (antes do resgate para pacientes resgatados) levada adiante.
† Todos os pacientes randomizados que tomaram pelo menos uma dose da medicação do estudo duplo- cego durante o período de curto prazo duplo-cego.
‡ Média dos quadrantes mínimos ajustada para o valor basal.
§ valor de p <0,0001.
¶ Não inferior versus metformina XR.
# valor de p <0,05.
Figura 2: Alteração média ajustada em relação ao basal ao longo do tempo (LOCFa) na HbA1c (%) em um estudo de 24 semanas ativo-controlado de terapia de combinação inicial de Forxiga com metformina XR
Valores no gráfico representam médias ajustadas e IC 95% baseados no modelo ANCOVA usando dados LOCF (última observação – antes do resgate de sujeitos– levados adiante)
Figura 3: Média ajustada de alteração em relação ao basal ao longo do tempo (LOCFa) no peso corporal total (kg) em um estudo ativo-controlado de 24 semanas de Forxiga como terapia de combinação inicial com metformina XR
Outro estudo de 24 semanas avaliando Forxiga 5 mg mais metformina XR mostrou melhoras clinicamente relevantes e estatisticamente significativas nos parâmetros glicêmicos versus monoterapia com Forxiga 5 mg e monoterapia com metformina XR.
Combinação à metformina
Um total de 546 pacientes com diabetes tipo 2 com controle glicêmico inadequado (HbA1c ≥7% e ≤10%) participaram de um estudo placebo-controlado de 24 semanas com um período de extensão de 78 semanas controlado e cego para avaliar Forxiga em combinação com metformina. Os pacientes que usavam metformina na dose de pelo menos 1500 mg por dia foram randomizados após completarem um período introdutório de 2 semanas simples-cego com placebo. Após o período introdutório, os pacientes elegíveis foram randomizados com dapagliflozina 2,5 mg, Forxiga 5 mg ou 10 mg ou placebo em combinação a suas doses atuais de metformina.
Como tratamento de combinação com metformina, Forxiga 10 mg proporcionou melhora significativas na HbA1c e na glicemia de jejum, e redução significativa do peso corporal em comparação com placebo na semana 24 (ver Tabela 3). Na semana 102, a alteração média ajustada em relação ao basal na HbA1c (ver Figura 4), glicemia de jejum e peso corporal foi -0,78%, -24,5 mg/dL e -2,81 kg, respectivamente, para pacientes tratados com Forxiga 10 mg mais metformina e 0,02%, -10,4 mg/dL, e -0,67 kg para pacientes tratados com placebo mais metformina com base na análise longitudinal de medidas repetidas excluindo-se dados após resgate. A proporção de pacientes que foram resgatados ou descontinuaram por falta de controle glicêmico durante o período de tratamento duplo-cego de 24 semanas (HbA1c ajustada para o basal) foi mais alta no grupo placebo mais metformina (15,0%) do que no grupo Forxiga 10 mg mais metformina (4,4%). Na semana 102 (ajustado em relação ao basal de HbA1c), mais pacientes tratados com placebo mais metformina (60,1%) precisaram de terapia de resgate do que pacientes tratados com Forxiga 10 mg mais metformina (44,0%).
Tabela 3. Resultados de um estudo placebo-controlado de 24 semanas (LOCF*) de Forxiga como terapia de combinação com metformina
|
Parâmetro de Eficácia |
Forxiga 10 mg + metformina |
Placebo + metformina |
|
HbA1c (%) |
||
|
Basal (média) |
7,92 |
8,11 |
|
Alteração em relação ao basal (média ajustada‡) |
-0,84 |
-0,30 |
|
Diferença em relação ao placebo (média ajustada‡) |
-0,54§ |
|
|
Percentual de pacientes que atingiram HbA1c <7% ajustada para o basal |
40,6%¶ |
25,9% |
|
Alteração em relação ao basal na HbA1c em pacientes com HbA1c basal ≥9% (média ajustada‡) |
-1,32¶ |
-0,53 |
|
Glicemia de jejum (mg/dL) |
||
|
Basal (média) |
156,0 |
165,6 |
|
Alteração em relação ao basal na semana 24 (média ajustada‡) |
-23,5 |
-6,0 |
|
Diferença em relação ao placebo (média ajustada‡) |
-17,5§ |
|
|
Alteração em relação ao basal na semana 1 (média ajustada‡) |
-16,5§ |
1,2 |
|
Peso corporal (kg) |
||
|
Basal (média) |
86,28 |
87,74 |
|
Alteração em relação ao basal (média ajustada‡) |
-2,86 |
-0,89 |
|
Diferença em relação ao placebo (média ajustada‡) |
-1,97§ |
|
* LOCF: última observação (antes do resgate de pacientes) levada adiante.
† Todos os pacientes randomizados que tomaram pelo menos uma dose da medicação do estudo duplo- cego durante o período de curto prazo duplo-cego.
‡ Média dos quadrantes mínimos ajustada para o basal.
§ valor de p <0,00001 versus placebo + metformina.
¶ valor de p <0,05 versus placebo + metformina.
Figura 4: Alteração média ajustada da HbA1c (%) em relação ao basal ao longo do tempo em um estudo placebo-controlado de 102 semanas de Forxiga como terapia de combinação com metformina (análise longitudinal de medidas repetidas, excluindo-se dados após o resgate)

Estudo de combinação de metformina comparado à glipizida como controle ativo
Um total de 816 pacientes com diabetes tipo 2 com controle glicêmico inadequado (HbA1c >6,5% e ≤10%) foi randomizado neste estudo de não inferioridade de 52 semanas, com período de extensão de 156 semanas, controlado com glipizida, para avaliar Forxiga em terapia de combinação com metformina. Pacientes que recebiam metformina em uma dose de pelo menos 1500 mg por dia foram randomizados, após um período introdutório de 2 semanas com placebo, para receber glipizida ou dapagliflozina (5 mg ou 2,5 mg, respectivamente) e as doses foram tituladas de forma crescente ao longo de 18 semanas para obtenção de efeito glicêmico ótimo (glicemia de jejum <110 mg/dL, <6,1 mmol/L) ou até o nível mais alto de dose (glipizida 20 mg e Forxiga 10 mg) conforme tolerado pelos pacientes. Deste ponto em diante as doses foram mantidas constantes, exceto por titulação decrescente para prevenção de hipoglicemia. Resgate devido à perda do controle glicêmico não estava disponível neste estudo até a semana 104, mas estava disponível entre as semanas 105 e 208.
Ao final do período de titulação, 87% dos pacientes tratados com Forxiga haviam sido titulados até a dose máxima do estudo (10 mg) versus 73% dos tratados com glipizida (20 mg). Forxiga levou a uma redução média similar na HbA1c em relação ao basal na semana 52, em comparação com glipizida, demonstrando assim sua não inferioridade (ver Tabela 4). O tratamento com Forxiga levou a uma redução média de peso corporal significativa em relação ao basal na semana 52 em comparação com um aumento médio no peso corporal no grupo que recebeu glipizida.
Nas semanas 104 e 208, as alterações médias ajustadas em relação ao basal de HbA1c foram -0,32% e -0,10% e as alterações no peso corporal foram -3,70 kg e -3,95 kg, respectivamente, para os pacientes tratados com Forxiga. As alterações médias ajustadas em relação ao basal de HbA1c foram -0,14% e 0,20%, respectivamente e as alterações no peso corporal foram 1,36 kg e 1,12 kg, respectivamente, para pacientes tratados com glipizida com base na análise de medidas repetidas longitudinais (Figuras 5 e 6). A porcentagem de pacientes que atingiram a perda de peso de ≥ 5% (ajustado) nas semanas 104 e 208 foi de 23,8% e 51,0%, respectivamente, para os pacientes tratados com Forxiga e 2,8% e 9,9%, respectivamente, para os pacientes tratados com glipizida.
Nas semanas 52, 104 e 208, a proporção de pacientes que interrompeu o tratamento ou foram resgatados por falta de controle glicêmico (ajustado em relação ao basal de HbA1c) foi maior para glipizida mais metformina (3,6%, 21,6% e 44,9%, respectivamente) do que para Forxiga mais metformina (0,2%, 14,5% e 39,4%, respectivamente). Nas semanas 52, 104 e 208, respectivamente, uma proporção significativamente menor de pacientes tratados com Forxiga (3,5%, 4,3% e 5,0%) apresentou pelo menos um episódio de hipoglicemia, em comparação com glipizida (40,8%, 47,0% e 50%).
Tabela 4. Resultados na semana 52 (LOCF*) de um estudo ativo-controlado comparando Forxiga à glipizida como adição à metformina
|
Parâmetro de Eficácia |
Forxiga + metformina |
glipizida + metformina |
|
HbA1c (%) |
||
|
Basal (média) |
7,69 |
7,74 |
|
Alteração em relação ao basal (média ajustada‡) |
-0,52 |
-0,52 |
|
Diferença em relação à glipizida + metformina (média ajustada‡) |
0,00§ |
|
|
Peso Corporal (kg) |
||
|
Basal (média) |
88,44 |
87,60 |
|
Alteração em relação ao basal (média ajustada‡) |
-3,22 |
1,44 |
|
Diferença em relação à glipizida + metformina (média ajustada‡) |
-4,65¶ |
|
|
Porcentagem de pacientes que atingiram perda de peso > 5% (ajustada) |
33,3% |
2,5% |
LOCF: última observação levada adiante.
† Pacientes randomizados e tratados com medidas de eficácia basal e pelo menos uma pós-basal.
‡ Média dos quadrantes mínimos ajustada para o basal.
§ Não inferior a glipizida + metformina.
¶ valor de p <0,0001.
Figura 5: Alteração média ajustada da HbA1c (%) em relação ao basal ao longo do tempo em um estudo ativo-controlado de 208 semanas comparando Forxiga à glipizida em adição à metformina (medidas repetidas longitudinais, excluindo dados após resgate)

Figura 6: Alteração média ajustada do peso corporal (kg) em relação ao basal ao longo do tempo em um estudo ativo-controlado de 208 semanas comparando Forxiga e glipizida em adição à metformina (medidas repetidas longitudinais, excluindo dados após resgate)

TRATAMENTO DE COMBINAÇÃO COM OUTROS AGENTES ANTIDIABÉTICOS
– Tratamento de combinação com sulfonilureia
Um total de 597 pacientes com diabetes tipo 2 e controle glicêmico inadequado (HbA1c ≥7% e ≤10%) foi randomizado neste estudo placebo-controlado de 24 semanas com um período de extensão de 24 semanas para avaliar Forxiga em combinação com glimepirida (uma sulfonilureia).
Pacientes recebendo pelo menos metade da dose máxima recomendada de glimepirida como monoterapia (4 mg) por pelo menos 8 semanas de período introdutório foram randomizados a dapagliflozina 2,5 mg, Forxiga 5 mg ou 10 mg ou placebo em adição a glimepirida 4 mg por dia. Foi permitida titulação decrescente de glimepirida para 2 mg ou 0 mg na ocorrência de hipoglicemia durante o período de tratamento. Não foi permitida titulação crescente de glimepirida.
Em combinação com glimepirida, o tratamento com Forxiga 10 mg proporcionou melhora significativa na HbA1c, glicemia de jejum, GPP de 2 horas e redução significativa de peso corporal em comparação com placebo mais glimepirida na semana 24 (Tabela 5 e Figura 7). Na semana 48, a alteração média ajustada em relação ao basal na HbA1c, glicemia de jejum e peso corporal foi -0,73%, -28,8 mg/dL e -2,41 kg, respectivamente, para pacientes tratados com Forxiga 10 mg mais glimepirida e -0,04%, 2,6 mg/dL, e -0,77 kg para pacientes tratados com placebo mais glimepirida na semana 48 com base na análise longitudinal de medidas repetidas, excluindo-se dados do período após o resgate.
Na semana 24, a proporção de pacientes que foi resgatada ou descontinuada por falta de controle glicêmico (HbA1c ajustada para o basal) foi mais alta para o grupo placebo mais glimepirida (16,2%) do que no grupo Forxiga 10 mg mais glimepirida (2,0%). Na semana 48 (ajustado em relação ao basal de HbA1c), mais pacientes no grupo que recebeu placebo mais glimepirida (52,1%) necessitaram de terapia de resgate do que pacientes que receberam Forxiga 10 mg mais glimepirida (18,4%).
– Tratamento de combinação com metformina e uma sulfonilureia
Um total de 218 pacientes com diabetes tipo 2 e controle glicêmico inadequado (HbA1c ≥7% e ≤10,5%) participaram de um estudo placebo-controlado de 24 semanas com um período de extensão de 28 semanas para avaliar Forxiga em combinação com metformina e uma sulfonilureia. Pacientes em tratamento com uma dose estável de metformina (formulações de liberação imediata ou prolongada) ≥1500 mg/dia em adição à uma dose máxima tolerada de uma sulfonilureia, que deve ser pelo menos metade da dose máxima, por pelo menos 8 semanas antes do início do estudo, foram randomizados para Forxiga 10 mg ou placebo após um período de
8 semanas de indução com placebo. A titulação da dose de Forxiga ou metformina não foi permitida durante as 24 semanas de tratamento. Redução da dose da sulfonilureia para diminuição da dose foi permitida para prevenir hipoglicemia, mas a titulação com aumento da dose não foi permitida.
Como terapia de combinação em adição à metformina e uma sulfonilureia, o tratamento com Forxiga 10 mg apresentou melhorias significativas na HbA1c e glicemia de jejum (GJ) e reduções significativas do peso corporal quando comparado com o placebo na semana 24 (Tabela 5). Reduções significativas na pressão sistólica sentada na semana 8 foram também observadas nos pacientes tratados com Forxiga 10 mg comparado com o placebo. Os efeitos em HbA1C, FPG e peso corporal observados na semana 24 foram mantidos até a semana 52.
Na semana 24, nenhum paciente tratado com Forxiga 10 mg em adição à metformina e uma sulfonilureia e 10 pacientes (9.3%) tratados com placebo em combinação com metformina e uma sulfoniluréia foram resgatados ou descontinuados por falta de controle glicêmico (HbA1c ajustado ao basal). Na semana 52 (HbA1c ajustado ao basal), mais pacientes tratados com placebo combinado à metformina e uma sulfonilureia (42,7%) foram resgatados por falta de controle glicêmico do que os pacientes tratados com Forxiga (10,1%). Nenhum paciente foi descontinuado do estudo devido a controle glicêmico inadequado.
– Tratamento de combinação com uma tiazolidinediona
Um total de 420 pacientes com diabetes tipo 2 com controle glicêmico inadequado (HbA1c ≥7% e ≤10.5%) participou deste estudo de 24 semanas, placebo-controlado, com um período de extensão de 24 semanas para avaliar Forxiga em combinação com pioglitazona (uma tiazolidinediona) isolada. Pacientes recebendo uma dose estável de pioglitazona de 45 mg por dia (ou 30 mg por dia, se 45 mg por dia não fosse tolerado) por 12 semanas foram randomizados após um período introdutório de 2 semanas para receber 5 mg ou 10 mg de Forxiga ou placebo em combinação às suas doses correntes de pioglitazona. Não foi permitida titulação da dose de Forxiga ou pioglitazona durante o estudo.
Em combinação com pioglitazona, o tratamento com Forxiga 10 mg proporcionou melhora significativa na HbA1c, GPP de 2 horas, glicemia de jejum, na proporção de pacientes que alcançou HbA1c <7% e na redução significativa do peso corporal em comparação com placebo mais pioglitazona (ver Tabela 5 e Figura 8) na semana 24. O tratamento com Forxiga 10 mg mais pioglitazona levou a redução significativa na circunferência da cintura em comparação com o grupo que recebeu placebo mais pioglitazona. Na semana 48, as alterações médias ajustadas em relação ao basal na HbA1c, glicemia de jejum e peso corporal foram -1,21%, -33,1 mg/dL, e 0,69 kg, respectivamente, para pacientes tratados com Forxiga 10 mg mais pioglitazona, e -0,54%, -13,1 mg/dL, e 2,99 kg para pacientes tratados com placebo com base na análise longitudinal de medidas repetidas, excluindo-se os dados após resgate.
A proporção de pacientes resgatados ou descontinuados por falta de controle glicêmico (HbA1c ajustada para o basal) foi mais alta no grupo do placebo mais pioglitazona (11,6%) do que no grupo Forxiga 10 mg mais pioglitazona (3,7%) na semana 24. Na semana 48 (ajustado em relação ao basal), mais pacientes tratados com placebo mais pioglitazona (33,8%) necessitaram de terapia de resgate do que pacientes tratados com Forxiga 10 mg mais pioglitazona (11,8%).
– Tratamento de combinação com insulina
Um total de 808 pacientes com diabetes tipo 2 com controle glicêmico inadequado (HbA1c ≥7,5% e ≤10,5%) foi randomizado neste estudo de 24 semanas, placebo-controlado com um período de extensão de80 semanas, para avaliar Forxiga como tratamento de combinação à insulina. Pacientes recebendo um regime estável de insulina, com uma dose média de pelo menos 30 UI de insulina injetável por dia, por um período de pelo menos 8 semanas antes da inclusão e recebendo no máximo 2 medicações antidiabéticas orais (ADOs), incluindo metformina, foram randomizados após completarem um período de inclusão de 2 semanas para receber dapagliflozina 2,5 mg, Forxiga 5 mg ou 10 mg ou placebo em adição a sua dose corrente de insulina e outras ADOs quando aplicável. Os pacientes foram estratificados de acordo com a presença ou ausência de antidiabéticos orais de base. A titulação crescente ou decrescente de insulina só foi permitida durante a fase de tratamento em pacientes que não atingissem metas glicêmicas específicas. Modificações de dose da medicação cega do estudo ou ADOs não foram permitidas durante a fase de tratamento, com exceção de redução de antidiabéticos orais quando houvesse preocupações relativas à hipoglicemia após o término do tratamento com insulina.
No início do estudo, 50% dos pacientes estavam recebendo monoterapia com insulina em valores basais, enquanto 50% estavam recebendo 1 ou 2 antidiabéticos orais em adição à insulina. Na semana 24, a dose de 10 mg de Forxiga forneceu melhora significativa na HbA1c e dose média de insulina, e uma significativa redução no peso corporal em comparação com placebo em combinação com insulina, com ou sem até 2 antidiabéticos orais (ver Tabela 5). O efeito de Forxiga sobre a HbA1c foi similar em pacientes recebendo insulina isolada e pacientes recendo insulina mais antidiabéticos orais.
Nas semanas 48 e 104, a alteração média ajustada em relação ao basal de HbA1c foi -0,93% e -0,71%, a alteração na glicemia de jejum foi -21,5 mg/dL e -18,2 mg/dL e a alteração no peso corporal foi -1,79 kg e -1,97 kg, respectivamente, para pacientes tratados com Forxiga 10 mg mais insulina; a alteração média ajustada em relação ao basal de HbA1c foi -0,43% e -0,06%, a alteração na glicemia de jejum foi -4,4 mg/dL e -11,2 mg/dL e a alteração no peso corporal foi -0,18 kg e 0,91 kg, respectivamente, para pacientes tratados com placebo mais insulina (ver Figura 9).
Na semana 24, uma proporção significativamente mais alta de pacientes recebendo Forxiga 10 mg reduziu a dose de insulina em pelo menos 10% em comparação com placebo. A proporção de pacientes que necessitou de titulação crescente de sua dose de insulina ou descontinuou devido falta de controle glicêmico (HbA1c ajustada em relação ao basal) foi mais alta para placebo mais insulina (29,2%) do que para Forxiga 10 mg mais insulina (9,7%). Nas semanas 48 e 104, a dose de insulina permaneceu estável em pacientes tratados com Forxiga 10 mg com uma média de dose de 76 UI/dia, mas continuou a aumentar (aumento médio de 10,5 UI e 18,3 UI, respectivamente, em relação ao basal) nos pacientes tratados com placebo. Nas semanas 48 e 104 (ajustado em relação ao basal de HbA1c), mais pacientes tratados com placebo precisaram de titulação crescente com insulina para manter os níveis glicêmicos ou descontinuaram devido à falta de controle glicêmico (42,8% e 50,4%, respectivamente) em comparação com pacientes tratados com Forxiga 10 mg (15,3% e 25,5% respectivamente).
Tabela 5. Resultados dos estudos placebo-controlados de 24 semanas de Forxiga em terapia de combinação com agentes antidiabéticos
|
Parâmetro de eficácia |
Forxiga 10 mg |
Placebo |
|
Em combinação com sulfonilureia (glimepirida) |
||
|
População com intenção de tratar |
N=151† |
N=145† |
|
HbA1c (%)* |
||
|
Basal (média) |
8,07 |
8,15 |
|
Alteração em relação ao basal (média ajustada‡) |
-0,82 |
-0,13 |
|
Diferença em relação ao placebo + glimepirida (média ajustada‡) |
-0,68§ |
|
|
Porcentagem de pacientes obtendo HbA1c <7% ajustada para o basal |
31,7%§ |
13,0% |
|
Glicemia de jejum (mg/dL)* |
||
|
Basal (média) |
172,4 |
172,7 |
|
Alteração em relação ao basal (média ajustada‡) |
-28,5 |
-2,0 |
|
Diferença em relação ao placebo + glimepirida (média ajustada‡) (IC 95%) |
-26,5§ |
|
|
GPP de 2 horas¶ (mg/dL)* |
||
|
Basal (média) |
329,6 |
324,1 |
|
Alteração em relação ao basal (média ajustada‡) |
-60,6 |
-11,5 |
|
Diferença em relação ao placebo (média ajustada‡) (IC 95%) |
-49,1§ |
|
|
Peso corporal (kg)* |
||
|
Basal (média) |
80,56 |
80,94 |
|
Alteração em relação ao basal (média ajustada‡) |
-2,26 |
-0,72 |
|
Diferença em relação ao placebo + glimepirida (média ajustada‡) (IC 95%) |
-1,54§ |
|
|
Em combinação com metformina e sulfonilureia |
||
|
População com intenção de tratar |
N=108† |
N=108† |
|
HbA1c (%)‡‡ |
|
|
|
Basal (média) |
8,08 |
8,24 |
|
Alteração em relação ao basal (média ajustada‡) |
-0,86 |
-0,17 |
|
Diferença em relação ao placebo (média ajustada‡) |
-0,69§ |
|
|
Porcentagem de pacientes obtendo HbA1c <7% ajustada para o basal |
31,8%§ |
11,1% |
|
Glicemia de jejum (mg/dL)* |
|
|
|
Basal (média) |
167,4 |
180,3 |
|
Alteração em relação ao basal na semana 24 (média ajustada‡) |
-34,2 |
-0,8 |
|
Diferença em relação ao placebo (média ajustada‡) |
-33,5§ |
|
|
Peso corporal (kg)* |
|
|
|
Basal (média) |
80,57 |
90,07 |
|
Alteração em relação ao basal (média ajustada‡) |
-2,65 |
-0,58 |
|
Diferença em relação ao placebo (média ajustada‡) |
-2,07§ |
|
|
Pressão sistólica sentada na semana 8 (mmHg)* |
|
|
|
Basal (média) |
134,7 |
136,3 |
|
Alteração em relação ao basal na semana 8 (média ajustada‡) |
-4,0 |
-0,3 |
|
Diferença em relação ao placebo (média ajustada‡) |
-3,8** |
|
|
Em combinação com tiazolidinediona (pioglitazona) |
||
|
População com intenção de tratar |
N=140# |
N=139# |
|
HbA1c (%)* |
|
|
|
Basal (média) |
8,37 |
8,34 |
|
Alteração em relação ao basal (média ajustada‡) |
-0,97 |
-0,42 |
|
Diferença em relação ao placebo (média ajustada‡) |
-0,55§ |
|
|
Porcentagem de pacientes obtendo HbA1c <7% ajustada para o basal |
38,8%** |
22,4% |
|
Glicemia de jejum (mg/dL)* |
|
|
|
Basal (média) |
164,9 |
160,7 |
|
Alteração em relação ao basal (média ajustada‡) |
-29,6 |
-5,5 |
|
Diferença em relação ao placebo (média ajustada‡) |
-24,1§ |
|
|
GPP de 2 horas*¶ (mg/dL) |
|
|
|
Basal (média) |
308,0 |
293,6 |
|
Alteração em relação ao basal (média ajustada‡) |
-67,5 |
-14,1 |
|
Diferença em relação ao placebo (média ajustada‡) |
-53,3§ |
|
|
Peso corporal* (kg) |
|
|
|
Basal (média) |
84,82 |
86,40 |
|
Alteração em relação ao basal (média ajustada‡) |
-0,14 |
1,64 |
|
Diferença em relação ao placebo (média ajustada‡) |
-1,78§ |
|
|
Alteração em relação ao basal na circunferência de cintura (cm) |
-0,17** |
1,38 |
|
Em combinação com insulina com ou sem tratamento de até 2 antidiabéticos orais |
||
|
População com intenção de tratar |
N=194† |
N=193† |
|
HbA1c (%)* |
|
|
|
Basal (média) |
8,58 |
8,46 |
|
Alteração em relação ao basal (média ajustada‡) |
-0,90 |
-0,30 |
|
Diferença em relação ao placebo (média ajustada‡) |
-0,60§ |
|
|
Dose diária média de insulina (UI)†† |
|
|
|
Basal (média) |
77,96 |
73,96 |
|
Alteração em relação ao basal (média ajustada‡) |
-1,16 |
5,08 |
|
Diferença em relação ao placebo (IC 95%) |
-6,23§ |
|
|
Percentual de pacientes com redução da dose diária média de insulina de pelo menos 10% ajustada para o basal |
19, 6%** |
11,0% |
|
Glicemia de jejum (mg/dL)* |
|
|
|
Basal (média) |
173,7 |
170,0 |
|
Alteração em relação ao basal (média ajustada‡) |
-21,7 |
3,3 |
|
Diferença em relação ao placebo (média ajustada‡) |
-25,0§ |
|
|
Peso corporal (kg)* |
|
|
|
Basal (média) |
94,63 |
94,21 |
|
Alteração em relação ao basal (média ajustada‡) |
-1,67 |
0,02 |
|
Diferença em relação ao placebo (média ajustada‡) |
-1,68§ |
|
* LOCF: última observação (antes do resgate de pacientes) levada adiante.
† Pacientes randomizados e tratados com medidas basais e pelo menos 1 medida pós-basal de eficácia.
‡ Média dos quadrantes mínimos ajustada para o valor basal.
§ valor de p <0,0001 versus placebo.
¶ nível de GPP de 2 horas como resposta a um teste de tolerância oral à glicose de 75 g (TTOG).
# Todos os pacientes randomizados que tomaram pelo menos uma dose da medicação duplo-cega do estudo durante o período de curto-prazo, duplo-cego.
** valor de p <0,05 versus placebo.
†† LOCF: última observação (após o resgate) levada adiante.
‡‡ LMR: análise longitudinal de medidas repetidas
Figura 7: Alteração média ajustada da HbA1c (%) em relação ao basal ao longo do tempo (LOCF) em um estudo placebo-controlado de 24 semanas de Forxiga em terapia de combinação com sulfonilureia (glimepirida)

Figura 8: Alteração média ajustada da HbA1c (%) em relação ao basal ao longo do tempo (LOCF) em um estudo placebo-controlado 24 semanas com Forxiga em terapia de combinação com uma tiazolidinediona (pioglitazona)
Figura 9: Alteração média ajustada da HbA1c (%) em relação ao basal ao longo do tempo em um estudo placebo-controlado de 104 semanas com Forxiga em terapia de combinação com insulina com ou sem até duas terapias antidiabéticas orais excluindo os dados após a titulação crescente das doses de insulina
– Tratamento de combinação com sitagliptina isolada ou em adição à metformina
Um total de 452 pacientes com diabetes tipo 2 que era virgem de tratamento, ou que foi tratado inicialmente com metformina ou um inibidor da DPP4 isoladamente ou em combinação, e que apresentava controle glicêmico inadequado (HbA1c ≥7,0% e ≤10,0% na randomização), participou do estudo de 24 semanas, controlado com placebo e com um período de extensão de 24 semanas para avaliar Forxiga em combinação com sitagliptina (um inibidor da DPP4) isoladamente ou em combinação com metformina.
Os pacientes elegíveis foram agrupados com base na presença ou ausência de tratamento anterior com metformina (≥1500 mg/dia) e dentro de cada grupo, foram randomizados para Forxiga 10 mg em adição à sitagliptina 100 mg, uma vez ao dia, ou placebo em adição à sitagliptina 100 mg uma vez ao dia. Os desfechos do estudo foram avaliados para Forxiga 10 mg em comparação ao placebo independente do grupo (sitagliptina com ou sem metformina) e para cada grupo (sitagliptina isolada ou sitagliptina com metformina).
Trinta e sete por cento (37%) dos pacientes eram virgens de tratamento, 32% estavam em tratamento com metformina isolada, 13% estavam em tratamento com um inibidor da DPP4 isolado, e 18% estavam em tratamento com um inibidor da DPP4 com metformina. A titulação da dose de Forxiga, sitagliptina ou metformina não foi permitida durante o estudo.
Em combinação com a sitagliptina (com ou sem metformina), Forxiga 10 mg proporcionou melhora significativa na HbA1c, HbA1c nos pacientes com HbA1c ≥8% no basal, glicemia de jejum, e redução significativa do peso corporal comparado com o tratamento de placebo em adição à sitagliptina (com ou sem metformina) na semana 24 (ver Tabela 6).
Estas melhoras também foram observadas no grupo de pacientes que recebeu Forxiga 10 mg em adição à sitagliptina isolada (n=110) em comparação aos que receberam placebo em adição à sitagliptina isolada (n=111), e no grupo de pacientes que recebeu Forxiga 10 mg em adição à sitagliptina e metformina (n=113) em comparação aos que receberam placebo em adição à sitagliptina e metformina (n=113) (Tabela 6).
Na semana 48, a variação da média ajustada em relação ao basal na HbA1c , em pacientes com HbA1c ≥8% no basal, Glicemia de jejum, Glicemia Pós Prandial e peso corporal foi de -0,30%, -0,72 %, -19,7 mg/dL, -43,0 mg/dL, e -2,03 kg, respectivamente, para os pacientes tratados com Forxiga 10 mg em adição à sitagliptina com ou sem metformina, e 0,38%, 0,26 %, 13,5 mg/dL, -12,1 mg/dL, e 0,18 kg para os pacientes tratados com placebo mais sitagliptina com ou sem metformina com base na análise de medidas repetidas longitudinais, excluindo os dados após o resgate. Na semana 48 para o grupo de pacientes sem metformina, a variação da média ajustada em relação ao basal na HbA1c para pacientes tratados com Forxiga 10 mg em adição à sitagliptina foi 0,00% e para os pacientes tratados com placebo em adição à sitagliptina foi de 0,85%. Para o grupo de pacientes com metformina, a variação da média ajustada para pacientes tratados com Forxiga 10 mg em adição à sitagliptina foi -0,44% e para os pacientes tratados com placebo em adição à sitagliptina foi de 0,15% com base na análise de medidas repetidas longitudinais, excluindo os dados após o resgate.
A proporção de pacientes que foram resgatados ou que interromperam o tratamento nas semanas 24 e 48 por falta de controle glicêmico (ajustada para HbA1c basal) foi maior para sitagliptina com ou sem metformina (40,5% e 56,5%) em comparação ao Forxiga 10 mg mais sitagliptina com ou sem metformina (19,5% e 32,6%, respectivamente).
Tabela 6. Resultados de um Estudos Controlado com Placebo de 24 Semanas (LOCF*) de tratamento com Forxiga em Adição Combinada à sitagliptina com ou sem metformina (análise total e dos grupos com ou sem metformina)
|
Parâmetro de Eficácia |
Forxiga 10 mg + sitagliptina com ou sem metformina |
Placebo + sitagliptina com ou sem metformina |
Forxiga 10 mg + sitagliptina |
Placebo + sitagliptina |
Forxiga 10 mg + sitagliptina + metformina |
Placebo + sitagliptina + metformina |
|
|
N=223† |
N=224† |
N=110† |
N=111† |
N=113† |
N=113† |
|
HbA1c (%) |
||||||
|
Basal (média) |
7,90 |
7,97 |
7,99 |
8,07 |
7,80 |
7,87 |
|
Variação em relação ao basal (média ajustada‡) |
-0,45 |
0,04 |
-0,47 |
0,10 |
-0,43 |
-0,02 |
|
Diferença em relação ao placebo (média ajustada‡) (IC de 95%) |
-0,48§ |
|
-0,56§ |
|
-0,40§ |
|
|
Variação em relação ao basal na HbA1c em pacientes com HbA1c ≥ 8% no basal (média ajustada‡) |
-0,80§ |
0,03 |
-0,81§ |
0,06 |
-0,79§ |
0,0 |
|
Glicemia de jejum (mg/dL) |
||||||
|
Basal (média) |
161,7 |
163,1 |
157,3 |
161,5 |
165,9 |
164,7 |
|
Variação em relação ao basal na Semana 24 (média ajustada‡) |
-24,1 |
3,8 |
-22,0 |
4,6 |
-26,2 |
3,0 |
|
Diferença em relação ao placebo (média ajustada‡) (IC de 95%) |
-27,9§ |
|
-26,6§ |
|
-29,2§ |
|
|
Peso corporal (kg) |
||||||
|
Basal (média) |
91,02 |
89,23 |
88,01 |
84,20 |
93,95 |
94,17 |
|
Variação em relação ao basal (média ajustada‡) |
-2,14 |
-0,26 |
-1,91 |
-0,06 |
-2,35 |
-0,47 |
|
Diferença em relação ao placebo (média ajustada‡) (IC de 95%) |
-1,89§ |
|
-1,85§ |
|
-1,87§ |
|
|
PAS sentado na semana 8 em pacientes com PAS sentada no basal ≥130 mmHg (mmHg) |
||||||
|
Basal (média) |
140,5 (N=101) |
139,3 (N=111) |
138,5 |
137,9 |
141,9 |
140,3 |
|
Variação em relação ao basal (média ajustada‡) |
-6,0 |
-5,1 |
-6,6 |
-4,2 |
-5,3 |
-5,5 |
|
Diferença em relação ao placebo (média ajustada‡) |
-0,86 |
|
-2,4 |
|
0,2 |
|
|
GPP de 2 horas ¶ (mg/dL) |
||||||
|
Basal (média) |
227,8 |
226,3 |
225,3 |
231,2 |
230,2 |
221,0 |
|
Variação em relação ao basal (média ajustada‡) |
-47,7 |
-4,8 |
-46,3 |
-2,6 |
-48,9 |
-7,2 |
|
Diferença em relação ao placebo (média ajustada‡) |
-42,9 |
|
-43,7 |
|
-41,6 |
|
|
Pacientes com redução na HbA1c ≥ 0,7% (% ajustado) |
35,3 |
16,6 |
42,8 |
17,2 |
28,0 |
16,0 |
HbA1c: hemoglobina glicada. GPP: glicemia pós prandial; PAS: pressão arterial sistólica
* LOCF: última observação (antes do resgate nos pacientes resgatados) levada adiante.
† Pacientes randomizados e tratados com medida basal e pelo uma medida de eficácia pós-basal.
‡ Média dos quadrados mínimos ajustada para o valor basal.
§ valor de p <0,0001 versus placebo.
¶ Nível de GPP de 2 horas como resposta ao teste de tolerância oral de à 75 gramas de glicose (TOTG).
Terapia de combinação inicial de saxagliptina e Forxiga em pacientes inadequadamente controlados com metformina
Um total de 534 pacientes adultos com diabetes mellitus tipo 2 e com controle inadequado de glicemia com metformina isolada (HbA1c ≥8% e ≤12%) participaram de estudo clínico de superioridade controlado por comparador ativo, randomizado, duplo-cego de 24 semanas para comparar a combinação de saxagliptina e Forxiga em adição concomitantemente à metformina, versus saxagliptina (inibidor de DPP4) ou a Forxiga adicionado à metformina na redução da HbA1c. Os pacientes foram randomizados em um dos três grupos de tratamento duplo-cego para receber saxagliptina 5 mg e Forxiga 10 mg em adição à metformina XR, ou saxagliptina 5 mg e placebo em adição à metformina XR, ou 10 mg de Forxiga e placebo em adição à metformina XR.
O grupo de combinação de saxagliptina e Forxiga obteve reduções significativamente maiores na HbA1c comparado tanto ao grupo de saxagliptina quanto ao grupo de Forxiga na semana 24. Quarenta e um por cento (41%) dos pacientes do grupo combinado de saxagliptina e Forxiga atingiram níveis de HbA1c inferiores a 7% em comparação com 18% de pacientes no grupo da saxagliptina e 22% no grupo da Forxiga.
Tabela 7. HbA1c na Semana 24 (ALMR*) em Estudo ativo-controlado comparando a combinação de saxagliptina e Forxiga em adição concomitantemente à metformina com saxagliptina ou Forxiga em adição concomitantemente à Metformina
|
Parâmetro de Eficácia |
Saxagliptina 5 mg + Forxiga 10 mg + Metformina XR |
Saxagliptina 5 mg + Metformina XR |
Forxiga 10 mg + Metformina XR |
|
HbA1c (%) na semana 24 (ALMR)* |
|||
|
Basal (média) |
8,93 |
9,03 |
8,87 |
|
Variação em relação ao basal (média ajustada‡) (IC de 95%) para alteração de média ajustada a partir do basal |
-1,47 |
-0,88 |
-1,20 |
|
Diferença em relação à saxagliptina + metformina (média ajustada‡) |
-0,59§ |
- |
- |
|
Diferença em relação à Forxiga + metformina (média ajustada‡) |
-0,27¶ |
- |
- |
* ALMR: análise longitudinal de medidas repetidas (usando valores antes do resgate).
† Pacientes randomizados e tratados com medida de eficácia basal e pelo menos uma medida de eficácia pós-basal.
‡ Média dos quadrados mínimos ajustada para o valor basal.
§ valor de p <0,0001.
¶ valor de p = 0,0166.
A alteração média ajustada no peso corporal na semana 24 foi de -2,05 kg (IC de 95% [-2,52, -1,58]) no grupo de saxagliptina e Forxiga mais metformina e -2,39 kg (IC de 95% [-2,87, -1,91]) no grupo da Forxiga mais metformina. A alteração média ajustada para o peso corporal no grupo de saxaglipina mais metformina não apresentou alteração 0,00 kg (IC de 95% [-0,48, 0,49]).
Terapia de combinação com Forxiga em pacientes inadequadamente controlados com saxagliptina e metformina
Um estudo controlado por placebo, duplo-cego, randomizado de 24 semanas comparou a adição sequencial de 10 mg de Forxiga a 5 mg de saxagliptina e metformina com a adição de placebo a 5 mg de saxagliptina (inibidor de DPP4) e metformina em pacientes com diabetes mellitus tipo 2 e controle glicêmico inadequado (HbA1c ≥ 7% e ≤ 10,5%). Trezentos e vinte (320) indivíduos foram randomizados igualmente no grupo de tratamento com Forxiga adicionado à saxagliptina mais metformina ou no grupo de tratamento com placebo e saxagliptina mais metformina.
O grupo com Forxiga adicionado sequencialmente à saxagliptina e metformina alcançou reduções estatisticamente significativas (p-valor <0,0001) maiores em HbA1c comparado ao grupo com placebo adicionado sequencialmente ao grupo de saxagliptina mais metformina na semana 24 (ver Tabela 8).
Tabela 8. Resultados de um Estudo controlado por placebo, de 24 semanas (ALMR*) de Forxiga em tratamento de adição à saxagliptina e metformina
|
Parâmetro de eficácia |
Forxiga 10 mg + saxagliptina 5 mg + metformina |
Placebo + saxagliptina 5 mg + metformina |
|
HbA1c (%) na semana 24* |
||
|
Basal (média) |
8,24 |
8,16 |
|
Variação em relação ao basal (média ajustada‡) (IC de 95%) |
-0,82 |
-0,10 |
|
Comparação de Forxiga adicionado à saxa + met vs. placebo + saxa + met: média ajustada* |
-0,72 |
|
|
Glicemia de Jejum (mg/dL) |
||
| Basal (média) | 178,5 | 176,6 |
| Variação em relação ao basal (média ajustada‡) (IC de 95%) |
-32,7 |
-5,3 |
|
Comparação de Forxiga adicionado à saxa + met vs. placebo + saxa + met: média ajustada* |
-27,5 |
|
|
Glicemia Pós Prandial¶ de 2 horas (mg/dL) |
||
|
Basal (média) |
239,8 |
241,3 |
| Variação em relação ao basal (média ajustada‡) (IC de 95%) |
-73,5 |
-38,0 |
|
Comparação de Forxiga adicionado à saxa + met vs. placebo + saxa + met: média ajustada* |
-35,5§ |
|
* ALMR: análise longitudinal de medidas repetidas (usando valores antes do resgate).
† Pacientes randomizados e tratados com medida de eficácia basal e pelo menos uma medida de eficácia pós-basal.
‡ Média dos quadrados mínimos ajustada para o valor basal.
¶ LOCF: última observação (antes do resgate de pacientes) levada adiante.
§ valor de p <0,0001 versus placebo. saxa= saxagliptina; met=metformina
A proporção de pacientes que alcançaram HbA1c < 7,0% na semana 24 foi maior no grupo Forxiga em adição à saxagliptina e metformina 38,0% (IC de 95% [30,9; 45,1]) em comparação com o grupo placebo em adição à saxagliptina e metformina 12,4% (IC de 95% [7,0; 17.9]).
As alterações ajustadas em relação ao basal na semana 24 no peso corporal foram de -1,91 kg (IC de 95% [- 2,34; -1,48]), no grupo Forxiga em adição à saxagliptina e metformina e -0,41 kg (IC de 95% [-0,86; -0,04]), no grupo placebo em adição à saxagliptina e metformina.
Os efeitos na HbA1C, glicemia de jejum (GJ) e peso corporal observados na semana 24 foram sustentados na semana 52. A alteração média ajustada a partir do basal na HbA1c, GJ e peso corporal foi de -0,74% (IC de 95% [-0,90; -0,57]), -26,8 mg/dL (IC de 95% [-34,2; -19,4]) e -2,13 kg (IC 95% [-2,70; -1,56]), respectivamente, em pacientes tratados com Forxiga 10 mg em adição à saxagliptina e metformina e 0,07% (IC de 95% [- 0,13; 0,27]), 10,2 mg/dL (IC de 95% [1,6; 18,8]) e -0,37 kg (IC de 95% [-1,01; 0,26]) em pacientes tratados com placebo em adição à saxagliptina e metformina com base na análise longitudinal de medidas repetidas, excluindo dados após o resgate.
Resultados cardiovasculares e renais
Efeitos da Dapagliflozina em Eventos Cardiovasculares (DECLARE) foi um estudo clínico internacional, multicêntrico, randomizado, duplo-cego, controlado por placebo, conduzido para determinar o efeito de Forxiga em comparação com placebo em resultados CV e renal quando adicionados à terapia de base atual. Todos os pacientes tinham diabetes mellitus tipo 2 e pelo menos dois fatores de risco CV adicionais (idade ≥ 55 anos em homens ou ≥ 60 anos em mulheres e uma ou mais dislipidemias, hipertensão ou uso atual de tabaco) sem ter um evento CV no início do estudo (prevenção primária) ou doença CV estabelecida (prevenção secundária). DECLARE foi projetado para garantir a inclusão de uma população ampla.
Dos 17.160 pacientes randomizados, 6.974 (40,6%) apresentavam doença CV estabelecida e 10.186 (59,4%) não apresentavam doença CV estabelecida. 8.582 pacientes foram randomizados para Forxiga 10 mg e 8.578 para placebo e foram acompanhados por uma mediana de 4,2 anos.
A idade média da população do estudo foi de 63,9 anos, 37,4% eram do sexo feminino, 79,6% eram brancos, 3,5% negros ou afro-americanos e 13,4% asiáticos. No total, 22,4% tinham diabetes por ≤ 5 anos, a duração média do diabetes era de 11,9 anos. A média da HbA1c era de 8,3% e a média do IMC era de 32,1 kg / m2.
No início do estudo, 10,0% dos pacientes tinham história de insuficiência cardíaca. A TFGe média era de 85,2 mL / min / 1,73 m2, 7,4% dos pacientes tinham TFGe <60 mL / min / 1,73 m2 e 30,3% dos pacientes apresentavam micro ou macroalbuminúria (relação albumina/creatinina [RACU] ≥30 a ≤300 mg / g ou > 300 mg / g, respectivamente).
A maioria dos pacientes (98,1%) utilizava uma ou mais medicações antidiabéticas no início do estudo, 82,0% dos pacientes estavam sendo tratados com metformina, 40,9% com insulina, 42,7% com sulfoniluréia, 16,8% com um inibidor de DPP4 e 4,4% com um agonista de GLP-1.
Aproximadamente 81,3% dos pacientes estavam sendo tratados com IECA ou BRA, 75,0% com estatinas, 61,1% com antiagregação plaquetária, 55,5% com ácido acetilsalicílico, 52,6% com betabloqueadores, 34,9% com bloqueadores dos canais de cálcio, 22,0% com diuréticos tiazídicos e 10,5 % com diuréticos de alça.
Os resultados dos desfechos primários e secundários são exibidos nas Figuras 10 e 11.
Figura 10. Efeito do Tratamento para os desfechos compostos primários e seus componentes e para os desfechos secundários e componentes
Valores p são valores p de dois lados para desfechos primários e valores p nominais para desfechos secundários e componentes únicos. O tempo até o primeiro evento foi analisado em um modelo de riscos proporcionais de Cox. O número de primeiros eventos para os componentes individuais são o número real de primeiros eventos para cada componente e não se soma ao número de eventos no desfecho composto.
Desfecho composto renal é definido como diminuição confirmada ≥40% na TFGe para TFGe <60 mL / min / 1,73 m2 e / ou doença renal terminal - DRT (diálise ≥ 90 dias ou transplante renal, TFG confirmada sustentada <15 mL / min / 1,73 m2) e / ou morte renal ou CV.
Figura 11. Efeitos do tratamento para os desfechos primários e secundários em pacientes com e sem doença CV estabelecida.
Composto renal definido como: redução sustentada ≥ 40% na TFGe para TFGe <60 mL / min / 1,73 m2 e / ou DRT (diálise ≥ 90 dias ou transplante renal, TFGe confirmada e mantida <15 mL / min / 1,73 m2) e / ou morte renal ou CV. O tempo até o primeiro evento foi analisado em um modelo de riscos proporcionais de Cox. IC = intervalo de confiança
Insuficiência cardíaca ou morte cardiovascular
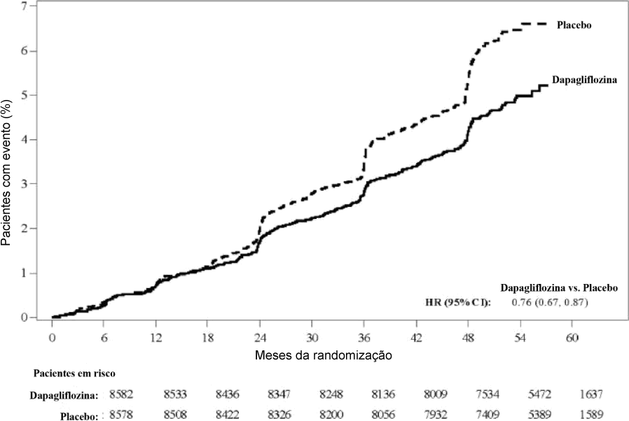
Forxiga 10 mg foi superior ao placebo na prevenção do desfecho composto primário de hospitalização por insuficiência cardíaca ou morte cardiovascular (CV) (Hazard Ratio [HR] 0,83 [IC 95% 0,73, 0,95]; p = 0,005) (Figura 12).
Análises exploratórias dos componentes isolados sugerem que a diferença no efeito do tratamento foi impulsionada pela hospitalização por insuficiência cardíaca (HR 0,73 [IC 95% 0,61, 0,88]) (Figura 10), sem diferença clara na morte CV (HR 0,98 [IC 95%] 0,82 a 1,17]).
O benefício do tratamento com Forxiga em relação ao placebo foi observado em pacientes com e sem doença cardiovascular estabelecida (Figura 11), com e sem insuficiência cardíaca no início do estudo, e foi consistente nos subgrupos-chave, incluindo idade, sexo, função renal (TFGe) e região.
Figura 12. Tempo para a primeira ocorrência de hospitalização por insuficiência cardíaca ou morte cardiovascular
Pacientes em risco é o número de pacientes em risco no início do período. IC é Intervalo de confiança e HR é taxa de risco .
Eventos adversos cardiovasculares maiores
Forxiga demonstrou segurança cardiovascular (testada como não inferioridade versus placebo para o composto de morte CV, infarto do miocárdio ou acidente vascular cerebral isquêmico [MACE]; p unilateral <0,001).
Houve numericamente menos eventos MACE no grupo Forxiga em comparação com o grupo placebo (HR 0,93 [IC 95% 0,84, 1,03]; p = 0,172) (Figuras 10 e 11).
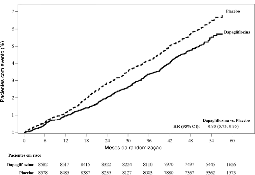
Nefropatia
Forxiga reduziu a incidência de eventos do desfecho composto de diminuição da TFGe sustentada confirmada, doença renal terminal (DRT), morte renal ou CV (HR 0,76 [95% IC 0,67, 0,87]; p nominal <0,001, Figura 11). A diferença entre os grupos foi impulsionada por reduções nos eventos dos componentes renais; diminuição sustentada da TFGe, DRT e morte renal (Figura 12), e foi observada em pacientes com e sem doença cardiovascular (Figura 13).
Figura 13. Tempo para a primeira ocorrência de diminuição da TFGe, DRT e morte renal ou cardiovascular
Pacientes em risco é o número de pacientes em risco no início do período.
Desfecho composto renal definido como diminuição confirmada sustentada da TFGe ≥ 40% para TFGe <60 ml / min / 1,73 m2 e / ou DRT e / ou morte renal ou CV. IC é Intervalo de confiança e HR é Razão de risco
Ao avaliar os componentes renais, houve 127 e 238 eventos de desenvolvimento ou de agravamento de nefropatia (diminuição sustentada da TFGe, DRT ou morte renal) em pacientes nos grupos Forxiga e placebo, respectivamente. A razão de risco de tempo para nefropatia foi de 0,53 (IC 95% 0,43, 0,66) para Forxiga versus placebo.
Os efeitos benéficos de Forxiga nos resultados renais foram também observados na albuminúria, por exemplo:
- Em pacientes sem albuminúria pré-existente, Forxiga reduziu de forma sustentada a incidência de albuminúria (RACU> 30 mg / g) em comparação com placebo (HR 0,79 [IC 95% 0,72, 0,87], p nominal <0,001).
- Em pacientes sem macroalbuminúria preexistente, o surgimento de macroalbuminúria (RACU> 300 mg/g) foi menor no grupo Forxiga comparado ao grupo placebo (HR 0,54 [IC 95% 0,45, 0,65], p nominal <0,001).
- Em pacientes com macroalbuminúria pré-existente, a regressão da macroalbuminúria foi maior no grupo Forxiga em comparação com o grupo placebo (HR 1,82 [IC 95% 1,51, 2,20] p nominal <0.001).
O benefício do tratamento com Forxiga em relação ao placebo foi observado em pacientes com e sem comprometimento renal existente.
Estudos de suporte
Absortometria de Raio-X (DXA) de dupla energia em pacientes com diabetes tipo 2
Devido ao mecanismo de ação de Forxiga, foi realizado um estudo para avaliar a composição corporal e a densidade mineral óssea em 182 pacientes com diabetes tipo 2. O tratamento com Forxiga 10 mg em adição à metformina por um período de 24 semanas proporcionou melhora significativa em comparação com placebo mais metformina, respectivamente, no peso corporal (alteração média em relação ao basal: -2,96 kg versus -0,88 kg), circunferência da cintura (alteração média em relação ao basal: -2,51 cm versus -0,99 cm) e massa perda de tecido magro ou fluido. O tratamento com Forxiga mais metformina mostrou uma redução numérica nodo tecido adiposo visceral em comparação com o tratamento com placebo mais metformina (322,6 cm3 vs. 8,7 cm3) em um subestudo com ressonância magnética (RNM). A semana 24 foi analisada usando a última observação conduzida incluindo a análise dos dados após o resgate (LOCF).
Na semana 24, dois pacientes (2,2%) do grupo placebo mais metformina e nenhum paciente de Forxiga 10 mg mais metformina foram resgatados por falta de controle glicêmico.
Nas semanas 50 e 102, os resultados foram sustentados no grupo Forxiga 10 mg em adição à metformina em comparação com o grupo placebo mais metformina para o peso corporal (alteração média ajustada em relação ao basal na semana 50: -4,39 kg vs. -2,03 kg, alteração média ajustada em relação ao basal na semana 102: -4,54 kg vs. -2,12 kg), circunferência da cintura (alteração média ajustada em relação ao basal na semana 50: -5,0 cm vs. -3,0 cm; alteração média ajustada em relação ao basal na semana 102: -5,0 cm vs. - 2,9 centímetros) e massa de gordura corporal medida por DXA na semana 102 (alteração média em relação ao basal: -2,80 kg vs. -1,46 kg) com base na análise das medidas repetidas longitudinais incluindo dados após resgate. Em um subestudo de ressonância magnética nas semanas 50 e 102, o tratamento com Forxiga e metformina mostraram uma redução do tecido adiposo visceral em comparação com o tratamento com placebo mais metformina (alteração média ajustada em relação ao basal na semana 50: -120,0 cm3 vs. 61,5 cm3; alteração média ajustada em relação ao basal na semana 102: -214,9 cm3 vs. -22.3cm3).
A proporção de pacientes na semana 50 (não ajustada em relação ao basal de HbA1c) e semana 102 (ajustada em relação ao basal de HbA1c), que foram resgatados ou descontinuados por falta de controle da glicemia foi maior no grupo placebo mais metformina (6,6% e 33,2%, respectivamente) do que no grupo de Forxiga 10 mg mais metformina (2,2% e 13,5%, respectivamente).
Em uma extensão desse estudo na semana 50, não houve alterações na densidade mineral óssea para coluna lombar, colo do fêmur, ou quadril observado em qualquer dos grupos de tratamento (redução média em relação ao basal para todas as regiões anatômicas <0,5%). Não houve alteração na densidade mineral óssea em ambos os grupos de tratamento até a semana 102 (redução média em relação ao basal para todas as regiões anatômicas < 1,0%. Não houve alterações clinicamente significativas nos marcadores de reabsorção óssea ou formação óssea.
Segurança Clínica
– Hipoglicemia
A incidência de hipoglicemia observada em estudos clínicos controlados com dapagliflozina em diferentes combinações é mostrada na Tabela 9.
Tabela 9. Incidência de hipoglicemia maior e menor em estudos clínicos controlados
|
Resultados CV do estudo (48 meses de exposição média) |
Placebo/Controle Ativo |
Frequência |
|
Todos |
N=8569 |
N=8574 |
|
Maior [n(%)] |
83 (1,0) |
58 (0,7) |
|
Pacientes tratados com insulina |
N=4606 |
N=4177 |
|
Maior [n(%)] |
64 (1,4) |
52 (1,2) |
|
Pacientes tratados com uma sulfonilureia |
N=4521 |
N=4118 |
|
Maior [n(%)] |
23 (0,5) |
14 (0,3) |
|
Monoterapia (24 semanas) |
N=75 |
N=70 |
|
Maior [n(%)] |
0 |
0 |
|
Menor [n(%)] |
0 |
0 |
|
Adição à metformina* (24 semanas) |
N=137 |
N=135 |
|
Maior [n(%)] |
0 |
0 |
|
Menor [n(%)] |
0 |
1 (0,7) |
|
Adição de controle ativo à metformina versus glipizida (52 semanas) |
N=408 |
N=406 |
|
Maior [n(%)] |
3 (0,7) |
0 |
|
Menor [n(%)] |
147 (36,0) |
7 (1,7) |
|
Adição à Glimepirida (24 semanas) |
N=146 |
N=151 |
|
Maior [n(%)] |
0 |
0 |
|
Menor [n(%)] |
3 (2,1) |
9 (6,0) |
|
Adição à metformina e à sulfonilureia (24 semanas) |
N=109 |
N=109 |
|
Maior [n(%)] |
0 |
0 |
|
Menor [n(%)] |
4 (3,7) |
14 (12,8) |
|
Adição à pioglitazona (24 semanas) |
N=139 |
N=140 |
|
Maior [n(%)] |
0 |
0 |
|
Menor [n(%)] |
0 |
0 |
|
Adição à inibidor de DPP4 (24 semanas) |
N=226 |
N=225 |
|
Maior [n(%)] |
0 |
1 (0,4) |
|
Menor [n(%)] |
3 (1,3) |
4 (1,8) |
|
Adição à insulina com ou sem outros ADOc (24 weeks) |
N=197 |
N=196 |
|
Maior [n(%)] |
1 (0,5) |
1 (0,5) |
|
Menor [n(%)] |
67 (34,0) |
79 (40,3) |
a Episódios principais de hipoglicemia foram definidos como episódios sintomáticos que requerem assistência externa (de terceiros) devido a comprometimento grave da consciência ou comportamento com um valor de glicose capilar ou plasmática <54 mg / dL e recuperação imediata após administração de glicose ou glucagon.
b Episódios menores de hipoglicemia foram definidos como um episódio sintomático com uma dosagem de glicose capilar ou plasmática <63 mg / dL independentemente da necessidade de assistência externa, ou uma medida capilar assintomática ou glicose plasmática <63 mg / dL que não se qualifica como episódio principal.
c ADO = terapia antidiabética oral.
Eventos relacionados à diminuição da função renal
Nos 13 estudos de curta duração controlados por placebo, observou-se um pequeno aumento na média dos níveis de creatinina sérica na semana 1. Alteração da média em relação ao basal: 0,041 mg/dL para Forxiga 10 mg vs 0,008 mg/dL para placebo) e diminuiu até o basal na semana 24 (alteração da média em relação ao basal: 0,019 mg/dL para Forxiga 10 mg vs 0,008 mg/dL para placebo). Não houve alterações adicionais até a semana 102.
No estudo de desfechos CV, havia menos pacientes com alterações laboratoriais acentuadas de creatinina, depuração de creatinina, TFGe e RACU no grupo Forxiga em comparação com o grupo placebo. Menos eventos renais (por exemplo, diminuição da depuração renal da creatinina , comprometimento renal, aumento da creatinina sangüínea e diminuição da taxa de filtração glomerular) foram relatados no grupo Forxiga em comparação com o grupo placebo: 422 (4,9%) e 526 (6,1%), respectivamente. Houve menos pacientes com eventos relatados como lesão renal aguda no grupo Forxiga em comparação com o grupo placebo: 125 (1,5%) e 175 (2,0%), respectivamente. Houve menos pacientes com EAS de eventos renais no grupo Forxiga em comparação com o grupo placebo: 80 (0,9%) e 136 (1,6%), respectivamente.
Achados laboratoriais
Hematócrito
No grupo de 13 estudos, controlados por placebo, foram observadas elevações nos valores médios de hematócrito em relação ao basal nos pacientes tratados com Forxiga, iniciando-se na semana 1 e continuando até a semana 16, quando foi observada a máxima diferença média em relação ao valor basal. Na semana 24, as alterações médias em relação ao valor basal no hematócrito foram de 2,30% no grupo Forxiga 10 mg vs. - 0,33% no grupo placebo. Na semana 102, as alterações médias foram de 2,68% vs. -0,46%, respectivamente. Na semana 24, valores de hematócrito > 55% foram relatados em 1,3% dos pacientes tratados com Forxiga 10 mg vs. 0,4% dos pacientes que receberam placebo. Os resultados foram similares durante a fase de curto prazo mais longo prazo (a maioria dos pacientes foi exposta ao tratamento por mais de um ano).
Fósforo inorgânico sérico
No grupo de 13 estudos, controlados por placebo foram relatadas elevações nos níveis sérico médios de fósforo em relação ao basal na semana 24 nos pacientes tratados com Forxiga 10 mg em comparação com pacientes tratados com placebo (elevações médias de 0,13 mg/dL vs. -0,04 mg/dL, respectivamente). Foram observados resultados similares na semana 102. Foram relatadas proporções mais altas de pacientes com alterações laboratoriais marcantes de hiperfosfatemia (≥5,6 mg/dL se idade 17–65 ou ≥5,1 mg/dL se idade ≥66) no grupo que recebeu Forxiga 10 mg vs. placebo na semana 24 (1,7% vs. 0,9%, respectivamente) e durante a fase de curto prazo mais longo prazo (3,0% vs. 1,6%, respectivamente). A relevância clínica desses achados é desconhecida.
Lipídeos
No grupo de 13 estudos, controlados por placebo foram relatadas pequenas alterações nos valores médios de lipídios em relação ao basal na semana 24 em pacientes tratados com Forxiga 10 mg em comparação com os pacientes tratados com placebo. A alteração percentual média em relação ao basal na semana 24 para Forxiga 10 mg vs. placebo, respectivamente foi a seguinte: colesterol total 2,5% vs 0,0%; colesterol HDL 6,0% vs. 2,7%; colesterol LDL 2,9% vs. -1,0%; triglicérides -2,7% vs. -0,7%. A alteração percentual média em relação ao basal na semana 102 para Forxiga 10 mg vs. placebo, respectivamente foi a seguinte: colesterol total 2,1% vs.-1,5%; colesterol HDL 6,6% vs. 2,1%; colesterol LDL 2,9% vs. -2,2%; triglicérides -1,8% vs. - 1,8%. A proporção entre colesterol LDL e colesterol HDL diminuiu em ambos os grupos de tratamento na semana 24.
No estudo de resultados CV, não foram observadas diferenças clínicas importantes no colesterol total, no colesterol HDL, no colesterol LDL ou nos triglicerídeos.
Populações especiais
Uso em paciente com diabetes tipo 2 e hipertensão
Em 2 estudos de 12 semanas, controlado por placebo, um total de 1062 pacientes com diabetes tipo 2 e hipertensão inadequadamente controlados foram tratados com Forxiga 10 mg ou placebo. Os pacientes com hipertensão inadequadamente controlada (pressão arterial sistólica sentada ≥140 e <165 mmHg, pressão arterial diastólica sentada ≥85 e <105 mmHg e pressão arterial média de 24 horas ≥130/80 mmHg) apesar de tratamento prévio estável com inibidores da enzima conversora de angiotensina (ECA) ou bloqueadores do receptor de angiotensina (BRA) - (isoladamente – estudo 1 – ou em combinação com terapia anti-hipertensiva adicional – estudo 2), bem como com controle glicêmico inadequado (HbA1c ≥7,0% e ≤10.5%) apesar de tratamento prévio estável com terapia antidiabética oral ou insulina (isoladamente ou em combinação) antes do início do estudo, foram elegíveis para esses estudos. Durante os estudos, não foi permitido ajuste na terapia antidiabética ou anti- hipertensiva. Nestes 2 estudos, 527 pacientes foram tratados com Forxiga 10 mg e 535 com placebo. Os pacientes tratados com Forxiga 10 mg ou placebo também receberam as seguintes medicações para controle da pressão sanguínea, que foram balanceadas entre os grupos de tratamento: inibidores da ECA (64%), BRAs (36%), diuréticos tiazídicos (16%), bloqueadores dos canais de cálcio (9%) e beta-bloqueadores (6%).
Na semana 12, em ambos os estudos, o tratamento com Forxiga 10 mg em adição ao tratamento habitual promoveu melhora significativa nos valores de HbA1c e reduções significativas na pressão arterial sistólica sentada em comparação com o tratamento com placebo, em adição ao tratamento habitual (Tabela 10). Foram observadas reduções consistentes na média de 24 horas da pressão arterial sistólica ambulatorial em pacientes tratados com Forxiga 10 mg em comparação com o tratamento com placebo. Foi observado também uma pequena redução na pressão arterial diastólica sentada em pacientes tratados com Forxiga 10 mg que não foi estatisticamente significativa comparado com o placebo.
Tabela 10. Resultados de 2 Estudos de 12 Semanas Controlados com Placebo de tratamento com Forxiga em pacientes com diabetes tipo 2 e hipertensão
|
|
Estudo 1 |
Estudo 2 |
||
|
Parâmetro de eficácia |
Forxiga 10 mg + tratamento habitual |
Placebo + tratamento habitual |
Forxiga 10 mg + tratamento habitual |
Placebo + tratamento habitual |
|
HbA1c (%) (ALMR)* |
||||
|
Basal (média) |
8,1 |
8,0 |
8,1 |
8,0 |
|
Variação em relação ao basal (média ajustada‡) |
-0,6 |
-0,1 |
-0,6 |
0,0 |
|
Diferença em relação ao placebo (média ajustada ‡) |
-0,5§ |
|
-0,6§ |
|
|
Pressão arterial sistólica sentada (mmHg) (ALMR) * |
||||
|
Basal (média) |
149,8 |
149,5 |
151,0 |
151,3 |
|
Variação em relação ao basal (média ajustada‡) |
-10,4 |
-7,3 |
-11,9 |
-7,6 |
|
Diferença em relação ao placebo (média ajustada ‡) |
-3,1¶ |
|
-4,3¶ |
|
* ALMR: análise longitudinal de medidas repetidas
† Todos os pacientes randomizados que receberam pelo menos uma dose da medicação do estudo duplo-cego durante o período duplo-cego curto.
‡ Média dos quadrados mínimos ajustada para o valor basal
§ p-value <0,0001.
¶ p-value <0,05.
Pacientes com diabetes tipo 2 e doença cardiovascular
Em dois estudos placebo controlado de 24 semanas com extensão de prazo de 80 semanas, um total de 1887 pacientes com diabetes tipo 2 e doença cardiovascular foram tratados com Forxiga 10 mg ou placebo.
Os pacientes com doenças cardiovasculares estabelecidas, e controle glicêmico inadequado (HbA1c ≥7,0% e ≤10,0%), apesar de tratamento estável pré-existente com antidiabéticos orais ou insulina (isoladamente ou em combinação) antes da entrada no estudo, foram elegíveis para estes estudos e estratificados de acordo a idade (< 65 anos ou ≥ 65 anos), uso de insulina (sim ou não), e data do evento cardiovascular mais recente qualificado (> 1 ano ou < 1 ano antes da inscrição). Ao longo dos 2 estudos, 942 pacientes foram tratados com Forxiga 10 mg e 945 com placebo. Noventa e seis por cento (96%) dos pacientes tratados com Forxiga 10 mg entre os 2 estudos tinham hipertensão na entrada do estudo e a maioria por mais de 10 anos de duração. O evento cardiovascular qualificado mais comum foi doença cardíaca coronariana (76%) ou acidente vascular cerebral (20%). Aproximadamente 19% dos pacientes receberam diuréticos de alça na entrada e 15% tinham insuficiência cardíaca congestiva (2% tinham NYHA Classe III). Aproximadamente 37% dos pacientes tratados com Forxiga 10 mg também receberam metformina e um antidiabético oral adicional (sulfonilureia, tiazolidinediona, inibidor DPP4 ou outro antidiabético oral, com ou sem insulina na entrada), 39% receberam insulina e mais pelo menos um antidiabético oral e 18% receberam apenas insulina.
Na semana 24 para ambos os estudos, quando adicionado aos tratamentos antidiabéticos pré-existentes, o tratamento com Forxiga 10 mg proporcionou melhora significativa para os desfechos coprimários de HbA1c e somou benefício clínico em comparação ao placebo. O benefício clínico combinado foi definido como a proporção de pacientes com queda absoluta do basal de 0,5% em HbA1c, uma queda relativa do peso corporal total do basal de pelo menos 3% e uma queda absoluta da pressão arterial sistólica na posição sentado quando comparado ao valor basal de pelo menos 3 mmHg (Tabela 11). Reduções significativas no peso corporal total e pressão arterial sistólica na posição sentado também foram observados em pacientes tratados com Forxiga em comparação com o placebo.
Na semana 52 e 104 para o estudo 1, a alteração da média ajustada em relação ao basal em HbA1c, a pressão arterial sistólica na posição sentado e alteração da porcentagem de ajuste em relação ao basal do peso corporal foram -0,44% e -0,41%, -3,40 e -2,64 mmHg, e -2,89% e -3,53%, respectivamente, para os pacientes tratados com Forxiga 10 mg mais tratamento habitual com base na análise de medidas repetidas longitudinais. Os números correspondentes para pacientes tratados com placebo mais o tratamento habitual foram de 0,22% e 0,50%, 0,18 mmHg e 1,54 mmHg, e -0,29% e -0,02%. Na semana 52 e semana 104, a composição percentual de benefício clínico foi ainda mais elevada no grupo Forxiga 10 mg (6,6% e 3,8%) do que no grupo placebo (0,7% e 0,5%).
Nas semanas 24, 52 e 104 do estudo 1, a proporção de pacientes que foram resgatados por falta de controle glicêmico (ajustado em relação ao basal de HbA1c) foi maior no grupo placebo mais tratamento habitual (24,0%, 51,8% e 57,3 %, respectivamente) do que com Forxiga 10 mg mais grupo de tratamento habitual (7,98%, 24,6% e 31,8%, respectivamente).
Na semana 52 e 104 para o estudo 2, a alteração da média ajustada em relação ao basal em HbA1c, a pressão arterial sistólica na posição sentado e alteração da porcentagem de ajuste em relação ao basal do peso corporal foram -0,47% e -0,37%, -3,56 e -1,96 mmHg, e -3,20% e -3,51%, respectivamente, para os doentes tratados com Forxiga 10 mg mais tratamento habitual com base na análise de medidas repetidas longitudinais. Os números correspondentes para pacientes tratados com placebo mais o tratamento habitual foram de 0,03% e - 0,18%, -0,91 mmHg e -0,37 mmHg, e -1,12% e -0,65%. Na semana 52 e semana 104, a composição percentual de benefício clínico foi ainda mais elevada no grupo Forxiga 10 mg (10,6% e 4,2%) do que no grupo placebo (3,1% e 1,1%).
Nas semanas 24, 52 e 104 do estudo 2, a proporção de pacientes que foram resgatados por falta de controle glicêmico (ajustado em relação ao basal de HbA1c) foi maior no grupo placebo mais tratamento habitual (22,3%, 43,6% e 50,5%, respectivamente) do que com Forxiga 10 mg mais grupo de tratamento habitual (7,6%, 18,7% e 27,5%, respectivamente).
Tabela 11. Resultados na semana 24 (LOCF*) em dois estudos placebo-controlados comparando Forxiga a placebo em pacientes com diabetes tipo 2 e doença cardiovascular
|
|
Estudo 1 |
Estudo 2 |
||
|
Parâmetro de Eficácia |
Forxiga 10 mg + tratamento usual |
Placebo + tratamento usual |
Forxiga 10 mg + tratamento usual |
Placebo + tratamento usual |
|
HbA1c (%) |
||||
|
Basal (média) |
8,18 |
8,08 |
8,04 |
8,07 |
|
Alteração em relação ao basal (média ajustada‡) |
-0,38 |
0,08 |
-0,33 |
0,07 |
|
Diferença em relação ao placebo (média ajustada‡) |
-0,46§ |
|
-0,40§ |
|
|
Responsivos do benefício clínico combinado (%) |
11,7 |
0,9 |
10,0 |
1,9 |
|
Diferença em relação ao placebo (% ajustada) |
9,9§ |
|
7,0§ |
|
|
Componentes do desfecho composto (%) |
||||
|
Pacientes com redução absoluta de HbA1c ≥0,5% (% ajustada) |
45,3 |
20,6 |
42,4 |
21,1 |
|
Pacientes com redução do peso corporal de pelo menos 3% do basal (% ajustada) |
40,0 |
13,9 |
41,3 |
15,4 |
|
Pacientes com redução absoluta da pressão arterial sistólica ≥ 3 mmHg (% ajustada) |
49,1 |
41,6 |
46,2 |
40,9 |
|
Peso Corporal (kg) |
||||
|
Basal (média) |
92,63 |
93,59 |
94,53 |
93,22 |
|
Alteração em relação ao basal (porcentagem ajustada‡) |
-2,56 |
-0,30 |
-2,53 |
-0,61 |
|
Diferença em relação ao placebo (porcentagem ajustada‡) |
-2,27§ |
|
-1,93§ |
|
|
Perda de peso corporal de pelo menos 5% em pacientes com IMC ≥ 27 kg/m2 (%) |
16,5§ |
4,0 |
18,4§ |
4,8 |
|
Pressão arterial sistólica em posição sentado (mmHg) |
|
|
|
|
|
Alteração em relação ao basal na semana 24 (média ajustada‡) |
-2,99 |
-1,03 |
-2,70 |
0,32 |
|
Diferença em relação ao placebo (média ajustada‡) |
-1,95¶ |
|
-3,02¶ |
|
|
Alteração na pressão arterial sistólica em posição sentada do basal (mmHg) na semana 8 em pacientes com pressão arterial sistólica basal ≥ 130 mmHg (média ajustada‡) |
- |
- |
-5,33¶ |
-1,89 |
* LOCF: última observação (antes do resgate de pacientes) levada adiante.
† Pacientes randomizados e tratados com medidas basais e pelo menos 1 medida pós-basal de eficácia.
‡ Média dos quadrantes mínimos ajustada para o basal.
§ valor de p < 0,0001.
¶ valor de p < 0,05.
Na semana 24, os pacientes tratados com Forxiga 10 mg nos grupos etários pré-definidos (<65 e ≥ 65 anos de idade) também apresentaram melhoras significativas nos desfechos coprimários de HbA1c e benefício clínico combinado em comparação com o placebo nos dois estudos. Uma redução significativa no peso corporal total também foi observada em ambos os grupos etários e uma redução significativa da pressão arterial sistólica em posição sentado em pacientes com menos de 65 anos tratados com Forxiga 10 mg, comparado com o placebo na semana 24. Esses efeitos foram mantidos nas semanas 52 e 104.
O perfil de segurança de Forxiga nestes estudos foi consistente com o perfil de segurança de Forxiga na população geral dos estudos clínicos, por um período de 104 semanas de tratamento (ver seção 9. EVENTOS ADVERSOS).
Uso em pacientes com diabetes tipo 2 e insuficiência renal
Pacientes com insuficiência renal leve (TFGe ≥60 a <90 mL / min / 1,73 m2)
No programa de ensaios clínicos, mais de 3000 pacientes com insuficiência renal leve foram tratados com dapagliflozina. A eficácia foi avaliada em um pool de análises de 9 estudos clínicos, consistindo em 2226 pacientes com insuficiência renal leve. A alteração média da HbA1c em relação ao valor basal e a alteração média de HbA1c corrigida por placebo em 24 semanas foi de -1,03% e -0,54%, respectivamente, para Forxiga 10 mg (n = 562). O perfil de segurança em pacientes com insuficiência renal leve é semelhante ao da população em geral.
Pacientes com insuficiência renal moderada (TFGe ≥30 a < 60 mL/min/1,73 m2)
A eficácia glicêmmica e a segurança de Forxiga foram avaliadas em dois estudos específicos com pacientes com insuficiência renal moderada e em duas análises de subgrupos de estudos clínicos agrupados. Em um estudo randomizado, duplo cego, controlado por placebo, um total de 321 pacientes adultos com diabetes mellitus tipo 2 e TFGe ≥45 a < 60 mL / min / 1,73 m2 (estágio 3A com insuficiência renal moderada), com controle glicêmico inadequado no tratamento atual, foram tratados com Forxiga 10 mg ou placebo. Na Semana 24, Forxiga 10 mg (n = 159) proporcionou melhoras significativas na HbA1c, GJ, Peso Corporal e PAS em comparação com placebo (n = 161) (Tabela 12). A alteração média da HbA1c em relação ao valor basal e a alteração média da HbA1c corrigida por placebo foi de -0,37% e -0,34%, respetivamente. A alteração média da GJ em relação ao valor basal e na média da GJ corrigida por placebo foi de -21,46 mg / dL e -16,59 mg / dL, respectivamente. A redução média do peso corporal (porcentagem) e a redução do peso corporal corrigida por placebo foi de - 3,42% e -1,43%, respectivamente. A redução média da pressão arterial sistólica (PAS) sentada e a redução média da PAS corrigida por placebo foi de -4,8 mmHg e -3,1 mmHg, respectivamente.
Tabela 12: Resultados da Semana 24 em um Estudo Controlado por Placebo do Tratamento com Forxiga em Pacientes com DM2 e Insuficiência Renal Moderada (Classe 3A, TFGe ≥ 45 a < 60 ml/min/1,73 m2)
|
Parâmetro de Eficácia |
Forxiga 10 mg |
Placebo |
|
HbA1c(%) |
||
|
Basal (media) |
8,35 |
8,03 |
|
Alteração em relação ao basal (media ajustada*) |
-0,37 |
-0,03 |
|
Diferença em relação ao placebo (media ajustada*) |
-0,34§ |
|
|
GJ (mg/dL) |
||
|
Basal (media) |
183,04 |
173,28 |
|
Alteração em relação ao basal (media ajustada*) |
-21,46 |
-4,87 |
|
Diferença em relação ao placebo (media ajustada*) |
-16,59§ |
|
|
Peso Corporal t (porcentagem) |
||
|
Basal (media) |
92,51 |
88,30 |
|
Alteração em relação ao basal (media ajustada*) |
-3,42 |
-2,02 |
|
Diferença em relação ao placebo (media ajustada*) |
-1,43§ |
|
|
Pressão Arterial Sistêmica na posição sentada (mmHg) |
||
|
Basal (media) |
135,7 |
135,0 |
|
Alteração em relação ao basal (media ajustada*) |
-4,8 |
-1,7 |
|
Diferença em relação ao placebo (media ajustada*) |
-3,1¶ |
|
* Média dos quadrados mínimos ajustada para o valor basal
§ p-value <0.001
¶ p-value <0.05
O perfil de segurança da dapagliflozina no estudo foi consistente com o da população geral de pacientes com diabetes tipo 2. A TFGe média diminuiu inicialmente durante o período de tratamento no grupo dapagliflozina e subsequentemente permaneceu estável durante o período de tratamento de 24 semanas (Forxiga: -3,39 mL/ min/1,73 m2 e placebo: -0,90 mL/min/1,73 m2). Três semanas após o término de Forxiga, a alteração média do valor basal da TFGe no grupo dapagliflozina foi semelhante à alteração média no grupo placebo (Forxiga: 0,57 mL/min/1,73 m2 e placebo: -0,04 mL/min/1,73 m2).
A eficácia em pacientes com insuficiência renal moderada foi avaliada em um pool de análises de 9 estudos clínicos (366 pacientes, 87% com TFGe entre 45 e 60 mL/min/1,73 m2); este grupo não incluiu os dois estudos dedicados a pacientes com diabetes e insuficiência renal moderada. A alteração média da HbA1c em relação ao valor basal e a alteração média da HbA1c corrigida por placebo em 24 semanas foi de -0,87% e -0,39%, respectivamente, no grupo Forxiga 10 mg (n = 85).
A segurança em pacientes com DM2 e insuficiência renal moderada foi avaliada em um pool de análises de 12 estudos clínicos (384 pacientes, 88% com TFGe entre 45 e 60 mL/min/1,73 m2); este pool não incluiu os dois estudos dedicados apacientes diabéticos com insuficiência renal moderada. Na semana 24, a segurança foi semelhante à observada no programa de estudos clínicos, exceto por uma proporção maior de pacientes que relataram pelo menos um evento relacionado a insuficiência ou falência renal (7,9% Forxiga 10 mg versus 5,6% placebo). Destes eventos, o aumento da creatinina sérica foi o mais frequentemente relatado (6,7% Forxiga 10 mg versus 2,8% placebo). Aumento do PTH e do fósforo sérico observados com Forxiga no programa de 14 estudos clínicos também foi observado na análise combinada. No pool de estudos de segurança de curto prazo e de longo prazo, de até 102 semanas, o perfil de segurança permaneceu o mesmo.
A eficácia e segurança de Forxiga também foi avaliada em um estudo de 252 pacientes diabéticos com TFGe ≥ 30 a <60 mL/min/1,73 m2 (insuficiência renal moderada, subgrupo CKD 3A e CKD 3B). O tratamento com Forxiga não mostrou uma alteração significativa corrigida por placebo na HbA1c na população total do estudo (CKD 3A e CKD 3B combinados) às 24 semanas. Em uma análise adicional do subgrupo CKD 3A, o Forxiga 10 mg (n = 32) forneceu uma alteração média da HbA1c corrigida por placebo em 24 semanas de - 0,33%. Na semana 52, o Forxiga foi associado a alterações do valor basal na TFGe (Forxiga 10 mg -4,46 mL/min/1,73 m2 e placebo -2,58 mL/min/1,73 m2). Na semana 104, essas alterações persistiram (TFGe: Forxiga 10 mg -3,50 mL/min/1,73 m2 e placebo -2,38 mL/min/1,73 m2). Com Forxiga 10 mg, esta redução de TFGe foi evidente na semana 1 e mantiveram-se estáveis até à Semana 104, enquanto os pacientes tratados com placebo tiveram um declínio contínuo lento até à Semana 52 que se estabilizou na Semana 104.
Na semana 52 e persistindo até a semana 104, maiores aumentos no hormônio paratireoidiano médio (PTH) e fósforo sérico foram observados neste estudo com Forxiga 10 mg em comparação ao placebo, onde os valores basais desses analitos foram maiores. Elevações de potássio ≥ 6 mEq/L foram mais comuns em pacientes tratados com placebo (12,0%) do que aqueles tratados com Forxiga 5 mg e 10 mg (4,8% para ambos os grupos) durante o período cumulativo de tratamento de 104 semanas. A proporção de pacientes descontinuados do estudo por potássio elevado, ajustado para o potássio basal, foi maior para o grupo placebo (14,3%) do que para os grupos Forxiga (6,9% e 6,7% para os grupos de 5 mg e 10 mg, respectivamente).
No geral, houve 13 pacientes com um evento adverso de fratura óssea relatado neste estudo até a semana 104, dos quais 8 ocorreram no grupo Forxiga 10 mg, 5 ocorreram no grupo Forxiga 5 mg e nenhum ocorreu no grupo placebo. Oito (8) destas 13 fraturas foram em pacientes que tiveram eTFG 30 a 45 mL/min/1,73 m2 e 10 das 13 fraturas foram relatadas nas primeiras 52 semanas. Não houve padrão aparente em relação ao local da fratura. Nenhum desequilíbrio nas fraturas ósseas foi observado na análise de segurança dos 12 estudos e nenhuma fratura óssea foi relatada no estudo dedicado de pacientes com eTFG ≥ 45 a < 60 mL/min/1,73 m2 (DRC 3A).
Uso em pacientes idosos com diabetes tipo 2
Um total de 2403 (26%) dos 9339 pacientes tratados tinham 65 anos ou mais, e 327 (5%) pacientes tinham 75 anos ou mais em 21 estudos duplo-cego, controlados que avaliaram a segurança e a eficácia de Forxiga em aumentar o controle glicêmico. Após o controle do nível de função renal (TFGe), não houve evidências conclusivas que sugerissem que a idade é um fator independente de eficácia. No geral, a proporção de pacientes que relataram eventos adversos foi consistente entre aqueles com idade ≥ 65 e < 65 anos.
Informações dos estudos clínicos de insuficiência cardíaca
O estudo da dapagliflozina na prevenção de insuficiência cardíaca (DAPA-HF) foi um estudo clínico internacional, multicêntrico, randomizado, duplo cego, controlado por placebo, em pacientes com insuficiência cardíaca (Associação do Coração de Nova York [NYHA] classe funcional II-IV) com fração de ejeção reduzida (fração de ejeção do ventrículo esquerdo [LVEF] ≤ 40%), para determinar o efeito de Forxiga comparado ao placebo, quando adicionado ao tratamento padrão, na incidência de morte cardiovascular e piora da insuficiência cardíaca.
Dos 4744 pacientes, 2373 foram randomizados para o grupo Forxiga 10 mg e 2371 para o grupo placebo, seguido por uma mediana de 18 meses. A idade média da população do estudo foi de 66 anos, dos quais 77% eram homens, 70% brancos, 5% negros ou afro americanos e 24% asiáticos.
Na linha de base do estudo, 67,5% dos pacientes foram classificados como classe funcional II pela NYHA, 31,6% como classe III e 0,9% como classe IV. A fração de ejeção do ventrículo esquerdo mediana foi 32%. 42% dos pacientes de cada grupo de tratamento apresentava histórico de diabetes mellitus tipo 2 e 3% de pacientes adicionais de cada grupo foram classificados com diabetes mellitus tipo 2, baseado na HbA1c ≥6,5% tanto no recrutamento quanto na randomização do estudo.
Os pacientes estavam em uso de suas respectivas terapias padrão de tratamento; 94% dos pacientes foram tratados com IECA, BRA ou inibidor do receptor de angiotensina-neprilisina (ARNI, 11%), 96% com betabloqueadores, 71% com antagonista dos receptores mineralocorticoides (ARM), 93% com diuréticos e 26% tinham dispositivo implantável (com função de desfibrilador).
Os pacientes com TFGe ≥ 30 mL/min/1.73 m2 no momento do recrutamento foram incluídos no estudo. A TFGe média foi de 66 mL/min/1.73 m2, dos quais 41% dos pacientes tiveram TFGe < 60 mL/min/1.73 m2 e 15% tiveram TFGe < 45 mL/min/1.73 m2.
Os desfechos do estudo DAPA-HF compararam o uso de Forxiga com placebo em uma população representativa daquela encontrada na prática clínica. O objetivo geral do estudo foi determinar se Forxiga é capaz de prevenir a morte cardiovascular e a piora da insuficiência cardíaca, e se Forxiga melhora os sintomas de insuficiência cardíaca.
Morte cardiovascular e piora da insuficiência cardíaca
O uso de Forxiga 10 mg apresentou resultados superiores aos do placebo na prevenção da morte cardiovascular e na piora da insuficiência cardíaca, com eficácia de tratamento consistente para os desfechos primários e secundários.
Forxiga reduziu a incidência do desfecho primário de morte cardiovascular, hospitalização por insuficiência cardíaca ou de consulta de urgência por insuficiência cardíaca (HR 0.74 [95% CI 0.65, 0.85]; p<0.0001). O número de pacientes que precisaram ser tratados por ano foi 26 (95% CI 18,46). As curvas de Forxiga e do placebo se separaram no início da avaliação e continuaram a divergir ao longo do estudo (Figura 14).
Figura 14. Tempo para pDo por morte cardiovascular, por insuficiência cardíaca ou consulta de urgência.
Uma consulta de urgência devido à insuficiência cardíaca foi definida como urgente, não planejada, avaliada por médico em algum pronto-socorro, que tenha requerido tratamento para piora da insuficiência cardíaca (outro tratamento que não um aumento da terapia com diuréticos orais).
Pacientes em risco é o número de pacientes que estavam em situação de risco no início do período.
Todos os três componentes do desfecho composto primário contribuíram individualmente para o efeito do tratamento (Figura 15). Houveram poucas consultas de urgência decorrentes de insuficiência cardíaca. Forxiga também reduziu a incidência de morte cardiovascular ou hospitalização por insuficiência cardíaca (HR 0.75 [95% CI 0.65, 0.85], p < 0.0001).
Figura 15. Efeitos do tratamento no desfecho composto primário, seus componentes e causas de mortalidade
Uma consulta de urgência devido à insuficiência cardíaca foi definida como urgente, não planejada, avaliada por médico em algum pronto-socorro, que tenha requerido tratamento para a piora da insuficiência cardíaca (outro tratamento que não um aumento da terapia com diuréticos orais).
O número de eventos primários para os componentes individuais é o número real de primeiros eventos para cada componente, e não a soma do número de eventos compostos no desfecho.
As taxas de eventos são apresentadas como o número de indivíduos que apresentaram eventos a cada 100 pacientes por ano de acompanhamento.
Os valores de p para cada componente individual e todas as causas de mortalidade são nominais.
Forxiga também reduziu o número total de casos de hospitalização decorrentes de insuficiência cardíaca (primária e recorrente) ou morte cardiovascular; foram 567 eventos no grupo Forxiga versus 742 eventos no grupo placebo (Taxa de Razão 0.75 [95% CI 0.65, 0.88]; p=0.0002).
O benefício do tratamento com Forxiga foi observado em pacientes com insuficiência cardíaca com ou sem diabetes mellitus tipo 2 (Figura 16).
Figura 16. Efeito do tratamento em todos os pacientes, em pacientes com diabetes mellitus tipo 2 e pacientes sem diabetes
Uma consulta de urgência devido à insuficiência cardíaca foi definida como urgente, não planejada, avaliada por médico em algum pronto-socorro, que tenha requerido tratamento para a piora da insuficiência cardíaca (outro tratamento, que não um aumento da terapia com diuréticos orais).
Para as ocorrências de hospitalizações recorrentes decorrentes de insuficiência cardíaca e morte cardiovascular, as razões de risco são apresentadas preferencialmente às taxas de risco, e o número de eventos são apresentados preferencialmente ao número de indivíduos com eventos.
O número de eventos primários para os componentes individuais é o número real de primeiros eventos para cada componente, e não a soma do número de eventos compostos no desfecho.
As taxas de eventos são apresentadas como o número de indivíduos que apresentaram eventos a cada 100 pacientes por ano de acompanhamento, ou pela ocorrência recorrente de hospitalização por insuficiência cardíaca e morte cardiovascular como a média de eventos por 100 pacientes por ano.
Os valores de p para cada componente individual e todas as causas de mortalidade são nominais.
Os benefícios do tratamento com Forxiga quando comparados ao placebo no desfecho primário foram consistentes através dos subgrupos especificados (Figura 17).
Figura 17. Efeitos do tratamento no desfecho composto primário por subgrupos
a A taxa de risco estimada não é apresentada nos subgrupos com menos de 15 eventos no total, em ambos braços combinados
n/N# Número de indivíduos com eventos / número de indivíduos do subgrupo
NT-proBNP = porção N-terminal do pró-hormônio do peptídeo natriurético do tipo B
Resultados relatados pelos pacientes – sintomas da insuficiência cardíaca
Os efeitos do tratamento com Forxiga nos sintomas da insuficiência cardíaca foram avaliados pela pontuação total dos sintomas de acordo com o questionário de cardiomiopatia de Kansas City (KCCQ-TSS), o qual quantifica os sintomas de insuficiência cardíaca por frequência e gravidade, incluindo fadiga, edema periférico, dispneia e ortopneia. A variação da pontuação é de 0 a 100, onde maiores pontuações representam um melhor nível de saúde.
O tratamento com Forxiga resultou em benefício estatisticamente e clinicamente significante comparado ao placebo nos sintomas de insuficiência cardíaca, avaliado pela medida inicial até o 8º mês no questionário KCCQ- TSS, (Razão de ganho 1.18 [95% CI 1.11, 1.26]; p<0.0001). Tanto a frequência quanto a intensidade dos sintomas contribuíram para os resultados. O benefício clínico foi observado na melhora dos sintomas da insuficiência cardíaca e também na prevenção da piora destes sintomas.
Na análise das respostas, a proporção de pacientes com uma melhora clínica significativa na pontuação do KCCQ-TSS desde o início da avaliação até o 8º mês, definido como 5 pontos ou mais, foi maior no grupo de tratamento com dapagliflozina comparado ao grupo placebo. A proporção de pacientes com uma piora clínica significativa na pontuação, definida como 5 pontos ou mais, foi menor no grupo de tratamento com dapagliflozina quando comparado ao grupo placebo. Os benefícios observados com dapagliflozina permaneceram quando pontos de corte mais conservadores foram aplicados para mudanças clinicamente significativas maiores (Tabela 13).
Tabela 13. Número e porcentagem de pacientes com melhora e piora clinicamente significativas avaliada pelo questionário KCCQ-TSS até o 8º mês
|
Mudança desde o início da avaliação até o 8º mês |
Dapagliflozina 10 mg |
Placebo |
|
|
|
Melhora |
n (%) |
n (%) |
Razão de probabilidadec (95% CI) |
Valor de pf |
|
≥ 5 pontos (pequena melhora) |
1198 (57,4) |
1030 (50) |
1,15 (1,08 –1,23) |
<0,0001 |
|
≥ 10 pontos (melhor moderada a grande) |
1124 (53,9) |
968 (46,9) |
1,15 (1,08 –1,22) |
<0,0001 |
|
≥ 15 pontos (grande melhora) |
1120 (53,7) |
984 (47,7) |
1,14 (1,07 –1,22) |
<0,0001 |
|
Piora |
n (%) |
n (%) |
Razão de probabilidadec (95% CI) |
Valor de pf |
|
≥ 5 pontos (pequena piora) |
524 (25,1) |
682 (33,1) |
0,84 (0,72 – 0,90) |
<0,0001 |
|
≥ 10 pontos (piora moderada a grande) |
385 (18,5) |
495 (24,0) |
0,85 (0,79 – 0,92) |
<0,0001 |
a Número de pacientes observados no questionário KCCQ-TSS que morreram antes do 8º mês
b Número de pacientes que tiveram uma melhora observada ao menos nos pontos 5, 10 ou 15 do basal. Pacientes que morreram antes do tempo especificado foram contabilizados como uma não melhora. Pacientes com pontuação muito alta no KCCQ-TSS basal a ponto de não obterem uma melhora significativa foram definidos como melhora se assim permanecessem até o 8º mês.
c Para a melhora, a razão de probabilidade > 1 favorece a dapagliflozina 10 mg.
d Número de pacientes que tiveram uma piora observada ao menos nos pontos 5 ou 10 do basal. Pacientes que morreram antes do tempo especificado foram contabilizados como piora. Pacientes com pontuação muito baixa no KCCQ-TSS basal a ponto de não obterem uma piora significativa foram definidos como piora se assim permanecessem até o 8º mês.
e Para a piora, a razão de probabilidade < 1 favorece a dapagliflozina 10 mg.
f O valor de p é nominal.
Nefropatia
Houveram 28 e 39 eventos de redução confirmada e sustentada da TFGe de ≥ 50% por ESRD, ou morte renal, em pacientes do grupo Forxiga e placebo, respectivamente (HR 0.71 [95% CI 0.44, 1.16]).
Mortalidade por todas as causas
A incidência de mortalidade por todas as causas foi menor no grupo de tratamento com Forxiga quando comparado ao grupo placebo (HR 0,83; 95% CI [0,71, 0,97], Figura 15).
Informações dos estudos clínicos em doença renal crônica
Eficácia clínica
O estudo que avaliou o efeito da dapagliflozina nos desfechos renais e na mortalidade cardiovascular em pacientes com doença renal crônica (DAPA-CKD), foi um estudo internacional, multicêntrico, direcionado por evento, randomizado, duplo cego, de grupo paralelo, controlado por placebo, comparando Forxiga com placebo, quando adicionado à terapia padrão de tratamento, em pacientes com doença renal crônica (DRC)) com TFGe ≥25 a ≤75 mL/min/1,73 m2 e albuminúria (relação albumina-creatinina urinária [RACU] ≥200 e ≤5000 mg/g). O objetivo primário do estudo foi determinar o efeito do Forxiga comparado ao placebo na redução da incidência do desfecho composto de: declínio sustentado ≥ 50% da TFGe, doença renal terminal (DRT) (definida por TFGe sustentada < 15 mL/min/1,73 m2, diálise crônica ou transplante renal), morte cardiovascular (CV) ou morte renal.
Um total de 4.304 pacientes foram randomizados nos grupos recebendo Forxiga 10 mg (N=2152) ou placebo (N=2152) uma vez ao dia, e seguiram o tratamento por um tempo mediano de 28,5 meses. O tratamento foi continuado mesmo com a queda da TFGe a níveis abaixo de 25 mL/min/1,73 m2 durante o estudo, e poderia ser continuado nos casos em que diálise fosse necessária.
No basal, a TFGe média foi de 43,1 mL/min/1,73 m2 e a RACU mediana foi 949,9 mg/g, 44,1% dos pacientes apresentaram TFGe entre 30 e < 45 mL/min/1,73 m2 e 14,5% apresentaram TFGe < 30 mL/min/1,73 m2. 67,5% dos pacientes tinham diabetes mellitus tipo 2.
Os pacientes do estudo estavam em terapia padrão de tratamento (standard-of-care – SOC); 97,0% dos pacientes foram tratados com um inibidor da enzima conversora de angiotensina (IECA) ou com um bloqueador do receptor da angiotensina (BRA).
A idade média da população do estudo foi de 61,8 anos, onde 66,9% eram homens, 53,2% brancos, 4,4% negros ou afro-americanos e 34,1% asiáticos.
Forxiga foi superior ao placebo na redução da incidência do desfecho primário composto por: declínio sustentado ≥ 50% da TFGe, evolução para DRT, morte CV ou morte renal (HR 0,61 [IC 95% 0,51, 0,72]; p<0,0001). O número necessário para tratar (NNT) por 27 meses foi 19 (IC 95% 15,27). Com base no gráfico de Kaplan-Meier, as curvas do Forxiga e placebo começaram a se separar no início (4 meses) e continuaram a separação ao longo do período do estudo (Figura 18).
Figura 18. Tempo para primeira ocorrência do desfecho primário composto: declínio sustentado ≥ 50%
Pacientes sob risco é o número de pacientes sob risco no início do período do estudo
Todos os quatro componentes do desfecho primário composto contribuem individualmente para o efeito do tratamento (Figura 19). Forxiga também reduziu a incidência do desfecho composto de declínio sustentado ≥ 50% da TFGe, DRT ou morte renal (HR 0,56 [IC 95% 0,45, 0,68], p<0,0001), do desfecho composto de morte CV e hospitalização por insuficiência cardíaca (HR 0,71 [IC 95% 0,55, 0,92], p=0,0089), e morte por todas as causas (HR 0,69 [IC 95% 0,53, 0,88], p=0,0035).
Figura 19. Efeito do tratamento nos desfechos compostos primários e secundários, seus componentes individuais e mortalidade por todas as causas
O número dos primeiros eventos para os componentes únicos é o número efetivo de primeiros eventos para cada componente e não somam ao número de eventos do desfecho composto.
As taxas de eventos são apresentadas como o número de pacientes com eventos a cada 100 pacientes por ano de acompanhamento.
As estimativas para Razão de Risco (HR) não são apresentadas para subgrupos com menos de 15 eventos no total, com ambos os braços combinados.
O valor de p por componente dos desfechos compostos é nominal.
O efeito do tratamento com Forxiga foi consistente em pacientes com doença renal crônica com diabetes mellitus tipo 2 e em pacientes não diabéticos (Figura 20).
Figura 20. Efeito do tratamento em pacientes com diabetes mellitus tipo 2 e em pacientes não diabéticos
O número dos primeiros eventos para os componentes únicos é o número efetivo de primeiros eventos para cada componente e não somam ao número de eventos do desfecho composto.
As estimativas para Razão de Risco (HR) não são apresentadas para subgrupo com menos de 15 eventos no total, com ambos os braços combinados.
As taxas de eventos são apresentadas como o número de pacientes com eventos a cada 100 pacientes por ano de acompanhamento.
O valor de p é nominal.
O benefício do tratamento com Forxiga comparado ao placebo no desfecho primário composto foi consistente através dos subgrupos (Figura 21).
Figura 21. Efeitos do tratamento no desfecho primário composto por subgrupo
n/N# Número de pacientes com evento/número de pacientes no subgrupo
O benefício do tratamento com Forxiga também foi observado nos desfechos exploratórios:
Foi demonstrada uma maior redução na RACU no grupo Forxiga comparado ao grupo placebo. O efeito foi observado logo nos primeiros 14 dias e foi mantido ao longo do estudo. Aos 36 meses, a mudança na porcentagem média ajustada desde o basal na RACU (mg/g) foi -41% em pacientes tratados com Forxiga e -20% em pacientes tratados com placebo, com uma diferença de -26,3% entre os grupos de tratamento ([IC 95% -36,8, -14,0], nominal p=0,0001).
A incidência da duplicação da creatinina sérica desde a medição laboratorial mais recente (uma avaliação de piora aguda da função renal) foi reduzida no grupo Forxiga comparado ao grupo placebo (HR 0,68 [IC 95% 0,49, 0,94], nominal p=0,0187).
REFERÊNCIAS
- Meng W, Whaley J, Washburn W. Discovery of dapagliflozin: a potent, selective renal sodium-dependent glucose cotransporter 2 (sglt2) inhibitor for the treatment of type 2 diabetes. J. Med. Chem. March 2008; 15 (5): 1145-1149.
- Chen J, Feder J, Neuhaus I, Whaley J. Tissue expression profiling of the sodium-glucose cotransporter (SGLT) family: implication for targeting sglt2 in type 2 diabetes patients. Diabetes. June 2008; 57 (suppl. 1); abstract 2493-po.
- Wallace T, Levy J, Matthews D. Use and abuse of homa modeling. Diabetes Care. June 2004; 27 (6): 1487- 1495.
- Jabbour SA, Hardy E, Sugg J, Parikh S; for the Study 10 Group. Dapagliflozin Is Effective as Add-on Therapy to Sitagliptin With or Without Metformin: A 24-Week, Multicenter, Randomized, Double-Blind, Placebo- Controlled Study. Diabetes Care. 2014;37(3):740-750.
- Fioretto P, Del Prato S, Buse JB, Goldenberg R, Giorgino F, Reyner D, Langkilde AM, Sj?str?m CD, Sartipy P, on behalf of the DERIVE Study Investigators. 2018. Efficacy and Safety of Dapagliflozin in Patients with Type 2 Diabetes and Moderate Renal Impairment (Chronic Kidney Disease Stage 3A): The DERIVE Study. Diabetes Obes Metab. 2018 Jun 11.DOI: 10.1111/dom.13413
- Matthaei S, Bowering K, Rohwedder K, et al. Dapagliflozin improves glycemic control and reduces body weight as add-on therapy to metformin plus sulfonylurea: a 24-week randomized, double-blind clinical trial. Diabetes Care. 2015 Mar;38(3):365-72.
- Study D1693C00001 Dapagliflozin Effect on Cardiovascular Events (DECLARE). A Multicenter, Randomized, Double-Blind, Placebo-Controlled Trial to Evaluate the Effect of Dapagliflozin 10 mg Once Daily on the Incidence of Cardiovascular Death, Myocardial Infarction, or Ischemic Stroke in Patients with Type 2 Diabetes. Doc ID-003629953
- Study D1699C00001. Study to Evaluate the Effect of Dapagliflozin on the Incidence of Worsening Heart Failure or Cardiovascular Death in Patients with Chronic Heart Failure with Reduced Ejection Fraction. Doc ID- 004108275.
- HEERSPINK, H. J. et al. Dapagliflozin in Patients with Chronic Kidney Disease. The New England Journal of Medicine: 383:1436-1446, Set./2020.
CARACTERÍSTICAS FARMACOLÓGICAS
PROPRIEDADES FARMACOCINÉTICAS
Descrição
Forxiga (dapagliflozina) é um inibidor potente, altamente seletivo e ativo por via oral, do cotransportador sódio-glicose 2 (SGLT2) renal humano, o principal transportador responsável pela reabsorção da glicose renal.
A dapagliflozina é descrita quimicamente como D-glucitol, 1,5-anidro-1-C-[4-cloro-3-[(4- ethoxifenil)metil]fenil]-, (1S)-, conjugado a (2S)-1,2-propanodiol, hidrato (1:1:1). A fórmula empírica é C21H25ClO6 •C3H8O2 •H2O e o peso molecular é 502,98. A fórmula estrutural é:

Mecanismo de Ação
A dapagliflozina é um inibidor altamente potente, seletivo e reversível do cotransportador sódio-glicose 2 (SGLT2) que melhora o controle glicêmico em pacientes com diabetes mellitus e promove benefícios cardiovasculares. Forxiga é disponibilizado para uso por via oral e requer administração uma vez ao dia.
A inibição do SGLT2 pela dapagliflozina reduz a absorção de glicose do filtrado glomerular no túbulo renal proximal, com redução concomitante da reabsorção de sódio, levando à excreção urinária da glicose e diurese osmótica. A dapagliflozina, portanto, aumenta a entrega de sódio ao túbulo distal, o qual aumenta a retroalimentação no túbulo glomerular e reduz a pressão intraglomerular. Este efeito combinado com a diurese osmótica leva a uma redução na sobrecarga de volume, redução na pressão sanguínea e menor pré-carga e pós- carga, o que pode ter efeito benéfico na remodelação cardíaca e preservar a função renal. Outros efeitos incluem um aumento do hematócrito e redução de peso.
Os benefícios cardiovasculares da dapagliflozina não são dependentes unicamente do efeito da diminuição da glicemia sanguínea, e não são limitados a pacientes com diabetes. Adicionalmente à osmose diurética e às ações hemodinâmicas relacionadas à inibição do SGLT2, efeitos secundários significativos no metabolismo do miocárdio, canais iônicos, fibrose, adipocinas e ácido úrico, podem ser mecanismos subjacentes dos efeitos positivos da dapaglilozina no sistema cardio-renal.
A dapagliflozina melhora tanto os níveis de glicose em jejum como pós-prandiais por redução da reabsorção da glicose renal levando a excreção urinária do excesso de glicose. Essa excreção de glicose (efeito glicosúrico) é observada após a primeira dose, continua ao longo do intervalo de 24 horas entre doses e se mantém ao longo de todo o tratamento. A quantidade de glicose removida pelo rim por esse mecanismo é dependente da concentração de glicose no sangue e da taxa de filtração glomerular (TFG). Assim, em sujeitos com glicose sanguínea normal e/ou um baixo nível de TFG, a dapagliflozina apresenta baixa propensão para causar hipoglicemia, já que a quantidade de glicose filtrada é pequena e pode ser reabsorvida pelos transportadores SGLT1 e SGLT2 desbloqueados. A dapagliflozina não prejudica a produção normal endógena de glicose em resposta à hipoglicemia. A dapagliflozina age independentemente da secreção e da ação da insulina. Ao longo do tempo, a melhoria na função das células beta (HOMA-2) tem sido observada em estudos clínicos com dapagliflozina.
A maior parte da redução de peso é devida à perda de gordura corporal, incluindo gordura visceral, e não de tecido magro ou perda de fluidos, conforme demonstrado pela DXA e RNM.
SGLT2 é expresso seletivamente nos rins. A dapagliflozina não inibe outros transportadores importantes de glicose no que diz respeito ao transporte de glicose para os tecidos periféricos e é maior que 1400 vezes mais seletivo para SGLT2 versus SGLT1, o principal transportador no intestino para absorção de glicose.
Farmacodinâmica Geral
Foram observadas elevações na quantidade de glicose excretada na urina em indivíduos sadios e em pacientes com diabetes mellitus tipo 2 após a administração da dapagliflozina (Figura 22). Aproximadamente 70 g de glicose foi excretada na urina por dia (correspondendo a 280 kcal/dia) com uma dose de 10 mg/dia de dapagliflozina em pacientes com diabetes mellitus tipo 2 por 12 semanas. Esta taxa de eliminação de glicose chegou à máxima excreção observada com 20 mg/dia de dapagliflozina. Foram observadas evidências de excreção prolongada de glicose em pacientes com diabetes mellitus tipo 2 que receberam dapagliflozina 10 mg/dia por até 2 anos.
Essa excreção urinária de glicose com dapagliflozina também resulta em diurese osmótica e aumentos no volume urinário. Volume urinário aumentado em pacientes com diabetes mellitus tipo 2 tratados com Forxiga 10 mg ainda estava presente em 12 semanas e chegou a aproximadamente 375 mL/dia. O aumento no volume urinário foi associado a um aumento pequeno e transitório na excreção urinária de sódio não associado com alterações nas concentrações séricas de sódio.
A excreção urinária de ácido úrico também aumentou transitoriamente (por 3-7 dias) e foi acompanhada por uma redução na concentração de ácido úrico sérico. Em 24 semanas, as reduções nas concentrações séricas de ácido úrico variaram de 0,33 mg/dL a 0,87 mg/dL.
Figura 22. Gráfico de dispersão e eixo ajustado da alteração em relação ao basal da quantidade de glicose urinária em 24 horas vs dose de dapagliflozina em indivíduos sadios e indivíduos com DMT2 (Plotagem semi-logarítmica)
Eletrofisiologia cardíaca
A dapagliflozina não foi associada ao prolongamento clinicamente significativo do intervalo QTc em doses diárias de até 150 mg (15 vezes a dose recomendada) em um estudo com sujeitos sadios. Além disso, não foi observado efeito clinicamente significativo sobre o intervalo QTc após doses únicas de até 500 mg (50 vezes a dose recomendada) de dapagliflozina em indivíduos sadios.
PROPRIEDADES FARMACOCINÉTICAS
Absorção
A dapagliflozina é rapidamente bem absorvida após a administração oral e pode ser administrada na presença ou ausência de alimentos. As concentrações plasmáticas máximas de dapagliflozina (Cmax) são usualmente alcançadas dentro de 2 horas após a administração em jejum. Os valores de Cmax e área sob a curva (AUC) aumentaram em proporção direta ao incremento na dose de dapagliflozina. A biodisponibilidade oral absoluta da dapagliflozina após a administração da dose de 10 mg é de 78%. Os alimentos possuem efeitos relativamente modestos sobre a farmacocinética da dapagliflozina em sujeitos sadios. A administração com refeições ricas em gordura reduz a Cmax da dapagliflozina em até 50% e prolonga o Tmax em aproximadamente 1 hora, mas não altera a AUC em comparação com a administração em jejum. Essas alterações não são consideradas clinicamente significativas.
Distribuição
Aproximadamente 91% de dapagliflozina liga-se a proteínas. A ligação proteica não é alterada em vários estados patológicos (por exemplo, insuficiência renal ou hepática).
Metabolismo
A dapagliflozina é um glicosídeo ligado a carbono, significando que o componente aglicona é ligado à glicose por uma ligação carbono-carbono, conferindo, assim, estabilidade contra a enzima glicosidase. A meia-vida plasmática terminal média (t1/2) para a dapagliflozina é de 12,9 horas após uma dose oral única de dapagliflozina 10 mg a indivíduos sadios. A dapagliflozina é extensamente metabolizada, primariamente para liberar dapagliflozina 3-O-glicuronídeo que é um metabólito inativo. A dapagliflozina 3-O-glicuronídeo foi responsável por 61% de uma dose de 50 mg de [14C]-dapagliflozina e é o componente predominante relacionado à droga no plasma humano, correspondendo por 42% [com base na ASC (0-12 h)] da radioatividade plasmática total, similar à contribuição de 39% pela droga-mãe. Com base na AUC, nenhum outro metabólito representa radioatividade total no plasma > 5%. Nenhum outro metabólito correspondeu por mais que 5% da radioatividade plasmática total em nenhuma das medidas avaliadas. A dapagliflozina 3-O-glicuronídeo ou outros metabólitos não contribuem com os efeitos redutores de glicemia. A formação de dapagliflozina 3-O- glicuronídeo é mediada pela UGT1A9, uma enzima presente no fígado e nos rins, e o metabolismo mediado pela CYP é uma via de depuração pouco representativa em seres humanos.
Eliminação
A dapagliflozina e os metabólitos relacionados são eliminados primariamente via excreção urinária, dos quais menos de 2% são dapagliflozina inalterada. Após a administração de uma dose de 50 mg de [14C]-dapagliflozina, 96% é recuperado, 75% na urina e 21% nas fezes. Nas fezes, aproximadamente 15% da dose é excretada na forma de droga inalterada.
Populações Especiais
Com base nas análises farmacocinéticas, não são recomendados ajustes de dose para insuficiência renal leve, moderada e severa; insuficiência hepática leve, moderada ou grave; idade, sexo, raça e peso corporal.
Insuficiência renal: Em estado de equilíbrio (20 mg de dapagliflozina uma vez ao dia por 7 dias), pacientes com diabetes tipo 2 e insuficiência renal leve, moderada ou grave (de acordo com a determinação pela depuração do iohexol) apresentaram exposições sistêmicas médias à dapagliflozina 32%, 60% e 87% mais altas, respectivamente, do que os pacientes com diabetes tipo 2 e função renal normal. Com dapagliflozina na dose de 20 mg uma vez ao dia, a exposição sistêmica mais alta à dapagliflozina em pacientes com diabetes mellitus tipo 2 e insuficiência renal não resultou em uma depuração de glicose ou excreção de glicose proporcionalmente mais alta em 24 horas. A depuração renal de glicose e excreção de glicose em 24 horas foram mais baixas em pacientes com insuficiência renal moderada ou grave do que em pacientes com função renal normal e insuficiência renal leve. A excreção urinária de glicose em 24 h em estado de equilíbrio foi altamente dependente da função renal e 85, 52, 18 e 11 g de glicose/dia foram excretados pelos pacientes com diabetes mellitus tipo 2 e função renal normal ou insuficiência renal leve, moderada ou grave, respectivamente. Não se observaram diferenças na ligação proteica da dapagliflozina entre os grupos de insuficiência renal ou em comparação a sujeitos sadios. O impacto da hemodiálise sobre a exposição à dapagliflozina não é conhecido. O efeito da redução da função renal na exposição sistêmica foi avaliado em um modelo farmacocinético populacional. Consistente com os resultados prévios, o modelo previu que a AUC seria maior em pacientes com doença renal crônica quando comparado aos pacientes com função renal normal, e não foi significativamente diferente em pacientes com doença renal crônica com diabetes mellitus tipo 2 e pacientes não diabéticos.
Insuficiência hepática: Para as recomendações de dose a pacientes com insuficiência hepática moderada ou grave ver item Posologia. Um estudo de farmacologia clínica de dose única (10 mg) de dapagliflozina foi conduzido em pacientes com insuficiência hepática leve, moderada ou grave (Child-Pugh classes A, B e C, respectivamente) e controles sadios correspondentes para comparação das características farmacocinéticas da dapagliflozina entre essas populações. Não se observaram diferenças na ligação proteica da dapagliflozina entre pacientes com insuficiência hepática em comparação a pacientes sadios. Em pacientes com insuficiência hepática leve ou moderada, Cmax e ASC médios da dapagliflozina foram até 12% e 36% mais altas, respectivamente, em comparação aos pacientes sadios controle correspondentes. Essas diferenças não foram consideradas clinicamente significativas e não é proposto ajuste de dose da dapagliflozina de dose usual de 10 mg uma vez ao dia para essas populações. Em pacientes com insuficiência hepática grave (Child-Pugh classe C), Cmax e ASC médios da dapagliflozina foram até 40% e 67% mais altas do que os controles sadios correspondentes, respectivamente. Não é necessário ajuste de dose em pacientes com insuficiência hepática grave. Entretanto, o risco-benefício para o uso de dapagliflozina em pacientes com insuficiência hepática grave deve ser avaliado individualmente, uma vez que a segurança e a eficácia da dapagliflozina não foram estudadas especificamente nessa população.
Idosos: Não é recomendado ajuste na dose de 10 mg de dapagliflozina uma vez ao dia com base na idade. O efeito da idade (jovens: ≥18 a <40 anos [n=105] e idosos: ≥65 anos [n=224]) foi avaliado como uma covariável em um modelo de farmacocinética populacional e comparado a pacientes com ≥40 a < 65 anos utilizando-se dados de estudos com indivíduos sadios e pacientes. A exposição sistêmica média à dapagliflozina (ASC) em pacientes jovens foi estimada como sendo 10,4% mais baixa que no grupo de referência [IC 90%: 87,9, 92.2%] e 25% mais alta em pacientes idosos em comparação com o grupo de referência [IC 90%: 123, 129%]. Essas diferenças na exposição sistêmica não foram consideradas clinicamente significativas.
Pediatria e adolescência: A farmacocinética na população pediátrica e adolescente não foi estudada.
Sexo: Não é recomendado ajuste na dose de 10 mg de dapagliflozina uma vez ao dia com base no sexo do paciente. O sexo do paciente foi avaliado como uma co-variável em um modelo farmacocinético populacional utilizando-se dados de indivíduos sadios e estudos em pacientes. A AUC média da dapagliflozina em mulheres (n=619) foi estimada como sendo 22% mais alta do que em homens (n=634) [IC 90%: 117,124].
Raça: Não é recomendado ajuste na dose de 10 mg de dapagliflozina uma vez ao dia com base na raça. A raça (branca, negra ou asiática) foi avaliada como uma co-variável em um modelo de farmacocinética populacional utilizando-se dados de estudos com indivíduos sadios e com pacientes. As diferenças nas exposições sistêmicas entre essas raças foram pequenas. Em comparação com brancos (n=1147), indivíduos asiáticos (n=47) não mostraram diferenças na média estimada de exposições sistêmicas a dapagliflozina [faixa IC 90%; 3,7% inferior, 1% superior]. Em comparação com brancos, indivíduos negros (n=43) apresentaram média estimada de exposições sistêmicas 4,9% mais baixas [faixa IC 90%; 7,7% inferior, 3,7% inferior].
Peso Corporal: Não são recomendados ajustes na dose proposta de 10 mg de dapagliflozina uma vez ao dia em pacientes com diabetes mellitus ou em pacientes não diabéticos com base no peso.
Em uma análise de farmacocinética populacional utilizando dados de estudos com indivíduos sadios e com pacientes, as exposições sistêmicas em indivíduos com alto peso corporal (≥120 kg, n=91) foram estimadas em 78,3% [IC 90%; 78,2%, 83,2%] daqueles dos indivíduos de referência com peso corporal entre 75 e 100 kg. Esta diferença é considerada pequena e, portanto, não é recomendado ajuste de dose para a dose proposta de 10 mg de dapagliflozina uma vez ao dia em pacientes com diabetes mellitus tipo 2 com alto peso corporal (≥120 kg).
Indivíduos com baixo peso corporal (<50 kg) não foram bem representados nos estudos com indivíduos sadios e com pacientes usados na análise farmacocinética populacional. Portanto, as exposições sistêmicas à dapagliflozina foram simuladas com um grande número de indivíduos. As exposições sistêmicas médias simuladas em indivíduos com baixo peso corporal foram estimadas como sendo 29% mais altas do que em indivíduos com o peso corporal do grupo de referência. Esta diferença é considerada pequena e com base nesses achados, não se recomenda ajuste de dose para a dose proposta de 10 mg de dapagliflozina uma vez ao dia em pacientes com diabetes mellitus tipo 2 com baixo peso corporal (<50 kg).
Dados de segurança pré-clínica
Carcinogênese, Mutagênese e Redução da Fertilidade
A dapagliflozina não induziu tumores em camundongos ou ratos em qualquer das doses avaliadas em estudos de carcinogenicidade de 2 anos. As doses orais a camundongos consistiram de 5, 15 e 40 mg/kg/dia em machos e 2, 10 e 20 mg/kg/dia em fêmeas e as doses orais em ratos foram 0,5, 2 e 10 mg/kg/dia tanto para machos como para fêmeas. As doses mais altas avaliadas em camundongos foram equivalentes a ASC de exposições múltiplas de aproximadamente 72 vezes (machos) e 105 vezes (fêmeas) a ASC em humanos na dose máxima recomendada para humanos (MRHD - sigla em inglês) de 10 mg por dia. Em ratos, as exposições da ASC foram aproximadamente 131 vezes (machos) e 186 vezes (fêmeas) a ASC humana na MRHD.
A dapagliflozina foi negativa no ensaio de mutagenicidade de Ames e foi positiva em um ensaio in vitro de clastogenicidade, mas apenas na presença de ativação S9 e em concentrações ≥100 μg/mL. É importante ressaltar que a dapagliflozina foi negativa para clastogenicidade in vivo em uma série de estudos avaliando micronúcleos ou reparo de DNA em ratos em exposições múltiplas mais que 2100 vezes a exposição humana na MRHD. Esses estudos, juntamente com a ausência de achados tumorais nos estudos de carcinogenicidade em ratos e camundongos, dão suporte à afirmação de que a dapagliflozina não representa risco genotóxico a seres humanos.
Mudanças de transcrição de genes relacionados à dapagliflozina foram avaliadas nos rins, fígado, tecido adiposo, músculo esquelético de ratos ZDF (do inglês, Zucker Diabetic Fatty) tratados diariamente com dapagliflozina durante 5 semanas. Estes órgãos foram especificamente selecionados visto que representam os órgãos-alvo no tratamento da diabetes. Não houve evidência de que a dapagliflozina causa alterações na transcrição que são preditivos de promotores de tumor.
A dapagliflozina e seu principal metabólito humano (3-O-glucuronida) não aumentaram o crescimento in vitro de seis linhas celulares humanas de carcinomas de células transicionais (TCC, da sigla em inglês) de bexiga urinária em concentrações ≥100 × Cmax humano no MRHD. Em um estudo de xenoenxerto, a administração diária da dapagliflozina em camundongos nus machos e fêmeas implantados com tumores de TCC humanos não apresentou aumento significativo no tamanho dos tumores em até 75 × e até 0,9 × de exposição clínica no MRHD para dapagliflozina e seu metabólito 3-O-glucuronida, respectivamente. Estes estudos fornecem evidências de que dapagliflozina e seu principal metabólito humano não aumentam o crescimento de tumor da bexiga urinária.
Em um estudo de fenotipagem de 15 meses, não havia nenhuma evidência de qualquer diferença na sobrevivência, peso corporal, parâmetros de patologia clínica ou achados histopatológicos entre camundongos SGLT2 KO e seus homólogos do tipo selvagem (WT). Camundongos SGLT2 KO tiveram glicosúria, ao contrário dos camundongos WT. Apesar de um tempo de vida de glicosúria, não houve evidência de qualquer alteração da função renal ou de alterações proliferativas observadas nos rins ou bexigas urinárias dos camundongos SGLT2 KO. Estes dados sugerem fortemente que níveis elevados de glicose urinária não provocam tumores do trato urinário ou aceleram a patologia do trato urinário relacionada à idade.
Em um estudo de fertilidade e desenvolvimento embrionário inicial em ratos foram administradas doses de 15, 75 ou 300/210 mg/kg/dia de dapagliflozina em machos (a dose de 300 mg/kg/dia foi reduzida para 210 mg/kg/dia após 4 dias) e doses de 3, 15 ou 75 mg/kg/dia foram administradas a fêmeas. A dapagliflozina não teve efeitos sobre o acasalamento, fertilidade ou desenvolvimento embrionário inicial em machos e fêmeas tratados com qualquer das doses testadas (em exposições múltiplas ≤1708 vezes e 998 vezes a MRHD em machos e fêmeas, respectivamente). Entretanto, na dose de 300/210 mg/kg/dia, os pesos das vesículas seminais e do epidídimo foram reduzidos, a motilidade espermática e a contagem de esperma foram reduzidos e se observou baixos números de esperma morfologicamente anormal.
Teratogenicidade e prejuízo do desenvolvimento precoce
Administração direta de dapagliflozina aos ratos jovens desmamados e exposição indireta no final da gravidez e lactação (período correspondente ao segundo e terceiro trimestre de gestação no que diz respeito à maturação renal humana) está associada ao aumento da incidência e/ou gravidade da dilatação renal pélvica e tubular na progênie.
Em um estudo de toxicidade juvenil, quando a dapagliflozina foi administrada diretamente em ratos jovens desde o dia 21 pós-natal (DPN) até o DPN 90 em doses de 1, 15 ou 75 mg/kg/dia, foram relatadas dilatações renal pélvica e tubulares em todas as doses. Exposições de filhotes à menor dose testada foram ≥ 15 vezes o MRHD. Estes resultados foram associados com aumentos dose-dependentes no peso dos rins e ampliação macroscópica dos rins observada em todas as doses. As dilatações renal pélvica e tubular observadas em animais jovens não reverteram totalmente dentro do período de recuperação de aproximadamente 1 mês.
Em um estudo separado de desenvolvimento pré e pós-natal, as ratas prenhes foram tratadas desde o sexto dia de gestação (DG) até o DPN 21 (também com 1, 15 ou 75 mg/kg/dia), e os filhotes foram indiretamente expostos no útero e durante a lactação. Um estudo satélite foi conduzido para avaliar as exposições da dapagliflozina no leite e filhotes. Aumento da incidência ou gravidade da dilatação da pélvica renal foi novamente observado na prole adulta de fêmeas tratadas, embora apenas com 75 mg/kg/dia (exposições associadas das fêmeas e filhotes à dapagliflozina foram 1415 vezes e 137 vezes, respectivamente, os valores humanos de MRHD). Desenvolvimento adicional de toxicidade foi limitado a reduções dose-dependentes nos pesos corporais dos filhotes e observados apenas em doses ≥ 15 mg/kg/dia (associados com exposições aos filhotes que são ≥29 vezes os valores humanos na MRHD). A toxicidade materna foi evidente apenas na dose de 75 mg/kg/dia, e limitada a uma redução transitória do peso corporal e consumo de alimentos no início dose. O nível sem efeitos adversos (NOAEL) para toxicidade no desenvolvimento, 1 mg/kg/dia, está associado a uma exposição materna sistêmica múltipla, que é aproximadamente 19 vezes o valor humano de MRHD.
Em estudos adicionais de desenvolvimento embrionário-fetal em ratos e coelhos, dapagliflozina foi administrada por intervalos coincidentes com os períodos principais de organogênese em cada espécie. Não foi observada toxicidade materna nem de desenvolvimento em coelhos, em qualquer dose testada (20, 60 ou 180 mg/kg/dia). A dose de 180 mg/kg/dia está associada a uma exposição sistêmica múltipla de aproximadamente 1191 vezes o MRHD. Em ratos, a dapagliflozina não foi embrioletal ou teratogênica nas doses de até 75 mg/kg/dia (1441 vezes o MRHD). Doses ≥150 mg/kg/dia (≥2344 vezes os valores humanos de MRHD) foram associados com toxicidade materna e de desenvolvimento. Toxicidade materna, incluiu a mortalidade, sinais clínicos adversos e decréscimo no peso corporal e consumo de alimentos. Toxicidade de desenvolvimento consistiu em aumento de letalidade embrio-fetal, aumento da incidência de malformações fetais e alterações esqueléticas, e redução do peso corporal do feto. As malformações incluíram uma incidência baixa de malformações de grandes vasos, costelas e vértebras fundidas e manúbrio e esterno duplicados. As variações foram primariamente ossificações reduzidas.
Toxicologia e/ou farmacologia animal
A maior parte dos efeitos observados nos estudos pivotais de toxicidade de doses repetidas, tanto em ratos como em cães, foram considerados secundários às elevações farmacologicamente mediadas na glicose urinária e incluíram redução e/ou aumento dos pesos corporais, aumento do consumo de alimentos e aumentos nos volumes urinários devido à diurese osmótica. A dapagliflozina foi bem tolerada quando administrada por via oral a ratos por até 6 meses em doses ≤25 mg/kg/dia (≥346 vezes as exposições na MRHD) e em cães por até 12 meses em doses ≤120 mg/kg/dia (≥3200 vezes as exposições humanas na MRHD). Ainda, estudos de dose única com dapagliflozina indicaram que o metabólito da dapagliflozina 3-O-glicuronídeo teria sido formado nos estudos de toxicidade, tanto de ratos como de cães, em níveis de exposição (ASC) aproximadamente iguais ou maiores que as exposições previstas em seres humanos à dapagliflozina 3-O-glucuronídeo após a administração de dapagliflozina na MRHD. Em ratos, o achado de toxicidade não clínica mais importante de aumento da mineralização trabecular óssea e tecidual (associada a um aumento do cálcio sérico), foi apenas observado em exposições múltiplas elevadas (≥2100 vezes com base nas exposições humanas na MRHD). Apesar de serem atingidas em múltiplas exposições ≥3200 vezes a exposição humana na MRHD, não foram identificadas toxicidades dose-limitantes ou de órgão alvo no estudo de 12 meses em cães.
CONTRAINDICAÇÕES
Forxiga é contraindicado a pacientes com conhecida hipersensibilidade a dapagliflozina ou aos outros componentes da fórmula.
ADVERTÊNCIAS E PRECAUÇÕES
Uso em pacientes com insuficiência renal
Há poucos dados sobre o tratamento inicial de Forxiga em pacientes com TFGe < 25 mL/min/1,73 m2.
Os resultados do estudo da dapagliflozina em pacientes com doença renal crônica (DAPA-CKD) incluíram pacientes com diabetes mellitus tipo 2 e pacientes não diabéticos, com TFGe ≥25 e ≤75 mL/min/1,73 m2. Durante o estudo, o tratamento foi continuado mesmo com a queda da TFGe a níveis menores que 25 mL/min/1,73 m2.
A eficácia da dapagliflozina na redução da glicose é dependente da função renal, e é reduzida em pacientes cuja TFGe é <45 mL/min/1,73 m2 (vide seção 8. POSOLOGIA)
Cetoacidose em pacientes com diabetes mellitus
Fatores predisponentes para cetoacidose incluem comprometimento significativo da função da célula beta resultante de perturbações pancreáticas (por exemplo, diabete tipo 1, história de pancreatite ou cirurgia de pâncreas), a redução da dose de insulina, redução da ingestão calórica ou aumento das necessidades de insulina devido a infecções, doença ou cirurgia ou abuso de álcool. Forxiga deve ser usado com precaução nestes pacientes.
Os pacientes tratados com Forxiga que apresentam sinais e sintomas compatíveis com cetoacidose, incluindo náuseas, vômito, dor abdominal, mal-estar e falta de ar, devem ser avaliados para cetoacidose, mesmo se os níveis de glicose no sangue estiverem abaixo de 14 mmol/L (250 mg/dl). Se houver suspeita de cetoacidose, a suspensão temporária ou interrupção do Forxiga deve ser considerada e o paciente deve ser prontamente avaliado.
Houve relatos de cetoacidose, incluindo cetoacidose diabética, em pacientes com diabetes mellitus tipo 2 tomando Forxiga e outros inibidores de SGLT2. Forxiga não é indicado para o tratamento de pacientes com diabetes mellitus tipo 1.
Fasciíte necrosante do períneo (Gangrena de Fournier)
Casos raros, mas potencialmente fatais, de fasciíte necrosante ou gangrena de Fournier foram relatados no período pós-comercialização. Se ocorrerem sintomas como sensibilidade, vermelhidão ou inchaço na área genital, acompanhados de febre e mal-estar, deve-se interromper imediatamente o uso do medicamento (ver seção Experiência pós-comercialização no item Reações Adversas).
Uso com medicações conhecidas por causar hipoglicemia
Insulina e seus secretagogos, tais como sulfonilureias, causam hipoglicemia. Portanto, uma dose menor de insulina ou de secretagogos de insulina pode ser necessária para reduzir o risco de hipoglicemia quando usada em combinação com Forxiga (ver item Reações Adversas).
Gravidez
Forxiga não deve ser usado no segundo e terceiro trimestres de gravidez. No período correspondente ao segundo e terceiro trimestres da gravidez no que diz respeito à maturação renal humana, a exposição materna à dapagliflozina em estudos com ratos foi associada à maior incidência e/ou gravidade de dilatações renais pélvicas e tubulares na progênie (ver item Dados de Segurança Pré-Clínica na seção 3. CARACTERÍSTICAS FARMACOLÓGICAS ).
Em estudos convencionais de desenvolvimento embrio-fetal em ratos e coelhos, a dapagliflozina foi administrada em intervalos coincidentes com o período do primeiro trimestre da organogênese não renal em seres humanos. Não foram observadas toxicidades de desenvolvimento em coelhos com nenhuma das doses testadas (1191 vezes a dose máxima recomendada a humanos [MRHD]). Em ratos, a dapagliflozina não foi nem embrio-letal nem teratogênica (1441× a MRHD) na ausência de toxicidade materna.
Não existem estudos adequados e bem controlados de Forxiga em mulheres grávidas. Quando a gravidez for detectada, Forxiga deve ser descontinuado.
Categoria de risco na gravidez: C.
Este medicamento não deve ser utilizado por mulheres grávidas sem orientação médica ou do cirurgião dentista.
Lactação
Forxiga não deve ser utilizado em mulheres que estejam amamentando. Estudos em ratos mostraram excreção de Forxiga no leite. A exposição direta e indireta a Forxiga em ratos juvenis e durante as fases tardias da gravidez são associadas com aumento na incidência e/ou gravidade de dilatações renais pélvicas e tubulares na progênie, apesar das consequências funcionais de longo prazo desses efeitos serem desconhecidas. Esses períodos de exposição coincidem com uma janela crítica de maturação renal em ratos. Como a maturação funcional dos rins em humanos continua nos 2 primeiros anos de vida, as dilatações pélvicas e tubulares renais associadas à Forxiga observadas em ratos juvenis poderiam constituir potencial risco para a maturação renal humana durante os primeiros 2 anos de vida. Ainda, os efeitos negativos sobre o ganho de peso corporal associados com a exposição lactacional em ratos jovens sugerem que Forxiga deve ser evitado durante os primeiros 2 anos de vida (ver item Dados de Segurança Pré-Clínica).
Não se sabe se Forxiga e/ou seus metabólitos são excretados no leite humano.
Populações especiais
Uso pediátrico: A segurança e a eficácia de Forxiga em pacientes pediátricos não foram estabelecidas.
Uso geriátrico: Não são recomendadas alterações de dose de Forxiga com base na idade.
Efeitos na habilidade de dirigir e operar máquinas
Não foram realizados estudos sobre os efeitos na capacidade de dirigir veículos e operar máquinas.
INTERAÇÕES MEDICAMENTOSAS
O metabolismo de dapagliflozina é mediado principalmente pela UGT1A9-dependente da conjugação glicuronídeo. O principal metabolito, dapagliflozina 3-O-glucuronideo, não é um inibidor SGLT2.
Em estudos in vitro, dapagliflozina e dapagliflozina 3-O-glucuronídeo não inibiram as CYP 1A2, 2C9, 2C19, 2D6, 3A4, nem induziram as CYP1A2, 2B6 ou 3A4. Portanto, não se espera que dapagliflozina altere a depuração metabólica de medicamentos coadministrados que são metabolizados por essas enzimas e medicamentos que inibem ou reduzem essas enzimas não devem alterar a depuração metabólica da dapagliflozina. A dapagliflozina é um substrato fraco do transportador ativo de P-glicoproteína (P-gp) e dapagliflozina 3-O-glucuronídeo é um substrato para o transportador ativo OAT3. A dapagliflozina ou dapagliflozina 3-O-glucuronídeo não inibiram significativamente os transportadores ativos P-gp, OCT2, OAT1 ou OAT3. No geral, é improvável que dapagliflozina afete a farmacocinética de medicações administradas concomitantemente que sejam substratos para P-gp, OCT2, OAT1, ou OAT3.
Efeitos de outras drogas sobre a dapagliflozina
Em estudos de interação realizados em indivíduos saudáveis, utilizando principalmente uma dose única, a farmacocinética da dapagliflozina não foi alterada pela metformina (um substrato hOCT-1 e hOCT-2), pioglitazona (um substrato do CYP2C8 [maior] e CYP3A4 [menor]), sitagliptina (um substrato de hOAT-3 e substrato da glicoproteína-P), glimepirida (um substrato do CYP2C9), voglibose (um inibidor da α-glicosidase), hidroclorotiazida, bumetanida, valsartan ou sinvastatina (um substrato da CYP3A4). Portanto, não seria de esperar uma interação significativa da dapagliflozina com outros substratos de hOCT-1, hOCT-2, hOAT-3, P- gp, CYP2C8, CYP2C9, CYP3A4 e outro inibidor da α-glucosidase.
Após a administração concomitante de dapagliflozina com rifampicina (um indutor de vários transportadores ativos e enzimas de metabolização de drogas) ou ácido mefenâmico (um inibidor do UGT1A9), uma redução de 22% e um aumento de 51%, respectivamente, na exposição sistêmica de dapagliflozina foi observada, mas com nenhum efeito clinicamente significativo na excreção urinária de glicose de 24 horas em ambos os casos.
A co-administração de dapagliflozina e bumetanida não alterou significativamente o efeito farmacodinâmico da dapagliflozina para aumentar a excreção urinária de glicose em indivíduos saudáveis.
Efeitos da dapagliflozina sobre outras drogas
O uso concomitante de dapagliflozina e lítio pode levar a uma redução nas concentrações séricas de lítio devido a um possível aumento da depuração urinária de lítio. A dose de lítio pode precisar de ajuste.
Em estudos de interação conduzidos em indivíduos sadios, utilizando principalmente o desenho de dose única, a dapagliflozina não alterou significativamente a farmacocinética da metformina, pioglitazona, sitagliptina, glimepirida, hidroclorotiazida, bumetanida, valsartana, sinvastatina, digoxina (um substrato da gp-P) ou varfarina (a varfarina é um substrato do CYP2C). Portanto, a dapagliflozina não é um inibidor clínico significativo da via de transporte de hOCT-1, hOCT-2, hOAT-3, gp-P e metabolismo mediado pelo CYP2C8, CYP2C9, CYP2C19 e CYP3A4.
A co-administração de dapagliflozina e bumetanida não alterou significativamente as respostas farmacodinâmicas no estado estacionário (excreção urinária de sódio, volume urinário) à bumetanida em indivíduos saudáveis.
A dapagliflozina não afetou a atividade anticoagulante da varfarina, medida pelo tempo de protrombina (International Normalised Ratio [INR]).
Outras interações
Os efeitos da dieta, tabagismo, produtos à base de plantas e uso de álcool sobre a farmacocinética da dapagliflozina não foram especificamente estudados.
Interferência com ensaio 1,5-anidroglucitol (1,5 AG)
Monitoramento do controle glicêmico com ensaio de 1,5-AG não é recomendado visto que medições de 1,5- AG não são confiáveis na avaliação do controle glicêmico em pacientes que tomam inibidores de SGLT2. Recomenda-se o uso de métodos alternativos para monitorar o controle glicêmico.
CUIDADOS DE ARMAZENAMENTO DO MEDICAMENTO
Cuidados de conservação
Conservar o produto em temperatura ambiente (15–30°C). Prazo de validade: 36 meses a partir da data de fabricação.
Número de lote e datas de fabricação e validade: vide embalagem.
Não use medicamento com o prazo de validade vencido. Guarde-o em sua embalagem original. Características físicas e organolépticas
Características físicas e organolépticas do produto
- Os comprimidos revestidos de Forxiga 5 mg são amarelos, biconvexos, redondos, com “5” gravado de um lado e “1427” do outro lado.
- Os comprimidos revestidos de Forxiga 10 mg são amarelos, biconvexos, em formato de losango, com “10” gravado de um lado e “1428” do outro lado.
Antes de usar, observe o aspecto do medicamento.
TODO MEDICAMENTO DEVE SER MANTIDO FORA DO ALCANCE DAS CRIANÇAS.
POSOLOGIA E MODO DE USAR
Diabetes mellitus tipo 2
Monoterapia e terapia de combinação: A dose recomendada de Forxiga é de 10 mg uma vez ao dia como monoterapia ou como terapia de combinação com metformina (com ou sem sulfoniluréia); tiazolidinedionas; sulfonilureias; inibidores da DPP4 (com ou sem metformina); ou insulina (com ou sem terapia antidiabética oral, terapia dupla com metformina e insulina ou terapia tripla com insulina incluindo metformina ou sulfonilureias).
Terapia de combinação inicial: As doses iniciais recomendadas de Forxiga e metformina, quando usados como terapia de combinação inicial, é de Forxiga 10 mg mais metformina 500 mg uma vez ao dia. Pacientes com controle glicêmico inadequado neste esquema posológico devem ter a dose de metformina aumentada de acordo com as práticas locais aprovadas.
Insuficiência cardíaca
A dose recomendada de Forxiga é de 10 mg uma vez ao dia, a qualquer hora do dia, independentemente das refeições.
No estudo DAPA-HF, Forxiga foi administrado em conjunto com outras terapias para insuficiência cardíaca (ver item 2. RESULTADOS DE EFICÁCIA).
Doença renal crônica
A dose recomendada de Forxiga é de 10 mg uma vez ao dia, a qualquer hora do dia, independentemente das refeições.
No estudo DAPA-CKD, Forxiga foi administrado em conjunto com outras terapias para doença renal crônica (ver item 2. RESULTADOS DE EFICÁCIA).
Populações Especiais
Pacientes com insuficiência renal: Não é necessário ajuste de dose com base na função renal. A eficácia de Forxiga na redução da glicose é menor em pacientes com TFGe < 45 mL/min/1,73 m2 (ver itens Advertências e Precauções e Reações Adversas). Portanto, se a TFGe estiver abaixo de 45 mL/min/1,73 m2, deve ser considerado tratamento adicional para redução da glicose em pacientes com diabetes mellitus.
Pacientes com insuficiência hepática: Não é necessário ajuste da dose de Forxiga em pacientes com insuficiência hepática leve, moderada ou grave (ver item Resultados de Eficácia).
Pacientes pediátricos e adolescentes: A segurança e eficácia de Forxiga em pacientes pediátricos e adolescentes não foram estabelecidas.
Pacientes geriátricos: Não é necessário ajuste de dose de Forxiga com base na idade do paciente (ver item Advertências e Precauções). Pacientes mais velhos são mais propensos a ter insuficiência renal. As recomendações de função renal fornecidas para todos os pacientes também se aplicam a pacientes idosos (ver item Advertências e Precauções).
Este medicamento não deve ser partido, aberto ou mastigado.
Para segurança e eficácia desta apresentação, Forxiga não deve ser administrado por vias não recomendadas. A administração deve ser somente pela via oral.
REAÇÕES ADVERSAS
Experiência de estudos clínicos
O perfil de segurança da dapagliflozina foi avaliado em programas de desenvolvimento clínico para diabetes mellitus tipo 2, para insuficiência cardíaca e para doença renal crônica. Isto inclui mais de 15000 indivíduos tratados com dapagliflozina para diabetes tipo 2, mais de 2000 para insuficiência cardíaca e mais de 2000 para doença renal crônica. Para mais informações sobre os estudos clínicos, consulte o item Resultados de Eficácia.
A incidência de reações adversas foi determinada utilizando um conjunto pré-especificado de pacientes a partir de 13 estudos de curta duração (duração média de 22 semanas) controlados por placebo para diabetes tipo 2. Ao longo destes 13 estudos, 2360 doentes foram tratados uma vez por dia com Forxiga 10 mg e 2295 foram tratados com placebo (em monoterapia ou em combinação com outras terapêuticas antidiabéticas).
Além disso, Forxiga 5 mg foi avaliado em 12 estudos de curta duração, controlado por placebo, que incluiu 1145 pacientes tratados com Forxiga 5 mg, (média de exposição = 22 semanas) e 1393 pacientes tratados com placebo (média de exposição = 21 semanas), tanto em monoterapia como em combinação com outras terapias anti-diabéticas.
No estudo de desfechos cardiovasculares (CV) dedicado a pacientes com diabetes mellitus tipo 2 (DECLARE), 8574 pacientes receberam Forxiga 10 mg e 8569 receberam placebo por um tempo médio de exposição de 48 meses. No total, houve 30623 pacientes-ano expostos ao Forxiga.
Nos resultados do estudo da dapagliflozina em pacientes com insuficiência cardíaca com fração de ejeção reduzida (DAPA-HF), 2368 pacientes foram tratados com dapagliflozina 10 mg e 2368 pacientes foram tratados com placebo por um tempo de exposição de 18 meses. A população incluiu pacientes com diabetes mellitus tipo 2 e pacientes sem diabetes, além de pacientes com TFGe ≥ 30 mL/min/1,73 m2.
Nos resultados do estudo da dapagliflozina em pacientes com doença renal crônica (DAPA-CKD), 2149 pacientes foram tratados com dapagliflozina 10 mg enquanto 2149 foram tratados com placebo, por um tempo mediano de exposição de 27 meses. A população do estudo incluiu pacientes com diabetes mellitus tipo 2 e pacientes não diabéticos, com TFGe ≥25 e ≤75 mL/min/1,73 m2. O tratamento foi continuado mesmo se a TFGe caísse a níveis menores que 25 mL/min/1,73 m2.
No geral, o perfil de segurança da dapagliflozina foi consistente através das indicações estudadas. A cetoacidose diabética foi observada apenas em pacientes com diabetes mellitus.
Reações adversas
São apresentadas na Tabela 14 as reações adversas em pacientes tratados com Forxiga 10 mg
Tabela 14. Reações adversas apresentadas por frequência e por Sistema de Classe de Órgãos
|
Sistema de Órgão |
Frequência |
|
Infecções e infestações |
|
|
Infecção Genitala, b |
Comum |
|
Infecção no trato urinárioa, c |
Comum |
|
Alterações na musculatura esquelética e tecidos conectivos |
|
|
Dor nas costasa |
Comum |
|
Transtornos urinários renais |
|
|
Polaciúriaa e Poliúriaa,d |
Comum |
|
Distúrbios do metabolismo e nutrição |
|
|
Cetoacidose diabéticae |
Rara |
|
Distúrbios da pele e dos tecidos subcutâneos |
|
|
Erupção cutâneaf,g |
Desconhecida |
|
Fasciíte necrosante do períneo (Gangrena de Fournier) f,h |
Desconhecida |
a Identificados dos 13 estudos controlados com placebo com dapagliflozina 10 mg em diabetes mellitus tipo 2,incluindo 3 estudos de monoterapia, 1 estudo de combinação inicial com metformina, 2 de adição à metformina, 2 de adição à insulina, 1 de adição à pioglitazona, 1 de adição à sitagliptina, 1 de adição à glimepirida e 2 estudos d combinação de adição de terapia.
b Múltiplos termos de eventos adversos, incluindo infecções vulvovaginais e candidíase, balanopostite, balanite, abscesso peniano, infecção peniana, abscesso vulvar e vaginite bacteriana.
c Vários termos de eventos adversos, incluindo infecção do trato geniturinário, cistite, pielonefrite, trigonite, uretrite e prostatite.
d Representa vários termos de eventos adversos, incluindo poliúria, aumento da produção de urina.
e Identificado a partir do estudo de desfechos cardiovasculares em pacientes com diabetes tipo 2. A freqüência é baseada na taxa anual.
f Identificado durante o uso pós-comercialização do Forxiga. Como essas reações são relatadas voluntariamente por uma população de tamanho incerto, nem sempre é possível estimar com segurança sua frequência.
g Erupção cutânea inclui os seguintes termos preferidos, listados por ordem de frequência em ensaios clínicos: erupção cutânea, erupção cutânea generalizada, erupção cutânea pruriginosa, erupção cutânea macular, erupção cutânea maculopapular, erupção cutânea pustular, erupção cutânea vesicular, erupção eritematosa. Nos ensaios clínicos controlados com fármaco e placebo (Dapagliflozin, N = 5936, All control, N = 3403), a frequência de erupção cutânea foi semelhante para Dapagliflozin (1,4%) e All control (1,4%), respetivamente, correspondendo a frequência “Comum”
h Em um estudo de desfecho cardiovascular (DECLARE), incluindo 17160 pacientes, os pacientes randomizados para dapagliflozina apresentaram menos Gangrena de Fournier em comparação com pacientes randomizados para placebo (1 versus 5).
Descrição das reações adversas
Infecções genitais
Eventos de infecções genitais foram relatados em 5,5% e 0,6% dos pacientes que receberam Forxiga 10 mg e placebo, respectivamente, em 13 estudos de curta duração, controlados por placebo. Os eventos de infecções genitais relatados em pacientes tratados com Forxiga 10 mg foram todos leves a moderados. A maioria dos eventos de infecção genital respondeu a um curso inicial de tratamento padronizado e raramente resultou em descontinuação do estudo (0,2% Forxiga 10 mg vs. 0% placebo). Infecções foram mais frequentemente relatadas em mulheres (8,4% Forxiga 10 mg vs. 1,2% placebo) do que em homens (3,4% Forxiga 10 mg vs. 0,2% placebo). As infecções genitais relatadas mais frequentemente foram infecções micóticas vulvovaginais em mulheres e balanite em homens.
No estudo DECLARE, o número de pacientes com eventos adversos sérios (EAS) de infecções genitais foi reduzido e equilibrado: 2 (<0,1%) pacientes em cada um dos grupos Forxiga e placebo.
No estudo DAPA-HF, nenhum paciente do grupo Forxiga e um paciente do grupo placebo reportou EASs de infecções genitais. Sete pacientes (0,3%) do grupo Forxiga e nenhum do grupo placebo apresentaram eventos adversos de infecções genitais que levaram à descontinuação do tratamento.
No estudo DAPA-CKD, foram relatados EAS de infecções genitais em 3 (0,1%) pacientes do grupo Forxiga e em nenhum paciente do grupo placebo. Três pacientes (0,1%) do grupo Forxiga descontinuaram o tratamento em decorrência de infecções genitais, nenhum paciente descontinuou o tratamento por este motivo no grupo placebo.
Infecções do trato urinário
Eventos de infecções do trato urinário (ITU) foram relatados em 4,7% e 3,5% dos pacientes que receberam Forxiga 10 mg e placebo, respectivamente, nos 13 estudos de curto-prazo, controlado por placebo. A maioria dos eventos de infecção de trato urinário relatados em pacientes tratados com Forxiga 10 mg foram leves a moderados. A maioria dos pacientes respondeu a um curso inicial de tratamento padronizado e infecções do trato urinário raramente provocaram descontinuação do estudo (0,2% Forxiga 10 mg vs. 0,1% placebo). Infecções foram relatadas mais frequentemente em mulheres (8,5% Forxiga 10 mg vs. 6,7% placebo) do que em homens (1,8% Forxiga 10 mg vs. 1,3% placebo) (ver Advertências e Precauções).
No estudo DECLARE houve menos pacientes com EASs de ITU no grupo Forxiga em comparação com o grupo placebo: 79 (0,9%) e 109 (1,3%), respectivamente.
No estudo DAPA-HF, o número de pacientes com EASs decorrente de infecções do trato urinário (ITU) foi pequeno e equilibrado: 14 (0,6%) pacientes do grupo Forxiga e 17 (0,7%) pacientes do grupo placebo. Houveram 5 pacientes (0,2%) que descontinuaram o tratamento devido aos eventos adversos de infecção do trato urinário tanto no grupo Forxiga quanto no grupo placebo.
No estudo DAPA-CKD, foram relatados EAS de ITU em 29 (1,3%) pacientes do grupo Forxiga e em 18 (0,8%) pacientes do grupo placebo. Oito pacientes (0,1%) descontinuaram o tratamento em decorrência de infecções no trato urinário no grupo Forxiga e 3 (0,1%) pacientes no grupo placebo.
Cetoacidose diabética (CAD)
Diabetes mellitus tipo 2
No estudo DECLARE com um tempo médio de exposição de 48 meses, os eventos de CAD foram relatados em 27 pacientes no grupo Forxiga 10 mg e 12 pacientes no grupo placebo. Os eventos ocorreram uniformemente distribuídos ao longo do período do estudo. Dos 27 pacientes com eventos de CAD no grupo Forxiga, 22 tiveram tratamento com insulina concomitante no momento do evento. Os fatores precipitantes da CAD foram os esperados numa população com diabetes mellitus tipo 2.
No estudo DAPA-HF, foram reportados eventos adversos de CAD em 3 pacientes com diabetes mellitus tipo 2 do grupo Forxiga, e nenhum no grupo placebo.
No estudo DAPA-CKD, não foram relatados eventos de CAD em nenhum paciente do grupo Forxiga, entretanto foram reportados em 2 pacientes com diabetes mellitus tipo 2 do grupo placebo.
Atenção: este produto é um medicamento que possui nova indicação terapêutica no país e, embora as pesquisas tenham indicado eficácia e segurança aceitáveis, mesmo que indicado e utilizado corretamente, podem ocorrer eventos adversos imprevisíveis ou desconhecidos. Nesse caso, notifique os eventos adversos pelo Sistema VigiMed, disponível no Portal da Anvisa.
SUPERDOSE
Foi demonstrado que dapagliflozina administrada por via oral é segura e bem tolerada em indivíduos sadios em doses únicas de até 500 mg (50 vezes a MRHD). Esses indivíduos apresentaram glicose detectável na urina por um período de tempo relacionado à dose (pelo menos 5 dias para a dose de 500 mg), sem relatos de desidratação, hipotensão ou desequilíbrio eletrolítico e sem efeitos clinicamente significativos no intervalo QTc. A incidência de hipoglicemia em pacientes tratados com dapagliflozina foi similar à do placebo. Nos estudos clínicos, em que doses de dapagliflozina de até 100 mg uma vez ao dia (10 vezes a MRHD) foram administradas por 2 semanas a indivíduos sadios e pacientes com diabetes tipo 2, a incidência de hipoglicemia em pacientes que usaram dapagliflozina foi levemente mais alta do que com placebo e não foi relacionada à dose. As taxas de eventos adversos incluindo desidratação ou hipotensão em pacientes tratados com dapagliflozina foram similares às observadas com placebo e não ocorreram alterações clinicamente significativas relacionadas à dose nos parâmetros laboratoriais incluindo eletrólitos séricos e biomarcadores de função renal.
Na ocorrência de uma superdosagem, devem ser iniciados tratamentos apropriados de suporte, de acordo com estado clínico do paciente. A remoção da dapagliflozina por hemodiálise não foi estudada.
Em caso de intoxicação ligue para 0800 722 6001 se você precisar de mais orientações.
DIZERES LEGAIS
VENDA SOB PRESCRIÇÃO MÉDICA
MS – 1.1618. 0259
Farm. Resp.: Mauricio Rivas Marante - CRF-SP nº 28.847
Forxiga (dapagliflozina) 5 mg:
Fabricado por: AstraZeneca Pharmaceuticals LP – Mount Vernon, Indiana – Estados Unidos Embalado por: AstraZeneca Pharmaceuticals LP – Newark, Delaware – Estados Unidos
Importado por:
AstraZeneca do Brasil Ltda.
Rod. Raposo Tavares, km 26,9 – Cotia – SP – CEP 06707-000
CNPJ 60.318.797/0001-00
Forxiga (dapagliflozina) 10 mg:
Fabricado por: AstraZeneca Pharmaceuticals LP – Mount Vernon, Indiana – Estados Unidos Ou
Fabricado por: IPR Pharmaceuticals Inc – Canovanas – Porto Rico
Embalado por:AstraZeneca Pharmaceuticals LP – Newark, Delaware – Estados Unidos Ou
Embalado por: AstraZeneca do Brasil Ltda.
Rod. Raposo Tavares, km 26,9 – Cotia – SP – CEP 06707-000
CNPJ 60.318.797/0001-00
Indústria Brasileira
Importado por:
AstraZeneca do Brasil Ltda.
Rod. Raposo Tavares, km 26,9 – Cotia – SP – CEP 06707-000
CNPJ 60.318.797/0001-00
SAC 0800 014 5578



