Preço de Vannair em São Paulo/SP: R$ 207,60

Bula do paciente Bula do profissional

Vannair
(Bula do profissional de saúde)

ASTRAZENECA DO BRASIL LTDA

Atualizado em 07/11/2022

IDENTIFICAÇÃO DO MEDICAMENTO

Vannair®
fumarato de formoterol di-hidratado + budesonida
Suspensão aerossol 6/100 mcg ou 6/200 mcg

FORMA FARMACÊUTICA E APRESENTAÇÃO:

Suspensão aerossol 
Embalagem contendo 1 tubo (inalador pressurizado dosimetrado) contendo 120 doses

VIA INALATÓRIA
USO ADULTO E PEDIÁTRICO (vide Posologia no item 6)

COMPOSIÇÃO:

Cada inalação de Vannair 6/100 mcg contém:

fumarato de formoterol di-hidratado 6 mcg
budesonida 100 mcg

A dose liberada é de 4,5 mcg de fumarato de formoterol di-hidratado e de 80 mcg de budesonida.

Excipientes: povidona, macrogol e apaflurano.


Cada inalação de Vannair 6/200 mcg contém:

fumarato de formoterol di-hidratado 6 mcg
budesonida 200 mcg

A dose liberada é de 4,5 mcg de fumarato de formoterol di-hidratado e de 160 mcg de budesonida.

Excipientes: povidona, macrogol e apaflurano.

INFORMAÇÕES TÉCNICAS AOS PROFISSIONAIS DE SAÚDE1

INDICAÇÕES

Vannair está indicado no tratamento da asma2 nos casos em que o uso de uma associação (corticosteroide inalatório com um beta-2 agonista3 de ação prolongada) é apropriado e no tratamento regular de pacientes adultos com doença pulmonar obstrutiva crônica (DPOC) de moderada a grave, com sintomas4 frequentes e histórico de exacerbações.

RESULTADOS DE EFICÁCIA

Asma2

A eficácia e/ou a segurança de Vannair em pacientes com asma2 persistente foram investigadas em 15 estudos com Symbicort® Turbuhaler® em crianças, adolescentes e adultos. Symbicort Turbuhaler é um pó inalante que consiste em uma associação de fumarato de formoterol di-hidratado e budesonida, os mesmos ingredientes ativos presentes em Vannair. Estes estudos demonstraram que Symbicort Turbuhaler é superior aos monoprodutos (budesonida e formoterol) quando usados sozinhos, ou igualmente eficaz aos monoprodutos administrados em combinação. Não foi observado sinal5 de atenuação do efeito antiasmático no decorrer do tempo. (Corren J et al. Clin Ther 2007; 29(5):823; Morice AH et al. Pulm Pharmacol Ther 2007 Feb 14 (Epub ahead of print); Leidy NK et al. J Allergy Clin Immunol 2007; 119(1 Suppl 1):S246, Abs 965; Kaiser HB et al. J Allergy Clin Immunol 2007;119(1 Suppl 1):S249, Abs 974; Korenblat PE et al. Ann Allergy Asthma Immunol 2007;98(1 Suppl 1):A57, Abs P83; Corren J et al. Ann Allergy Asthma Immunol 2007;98(1 Suppl 1):A56, Abs P82; Noonan MJ et al. J Allergy Clin Immunol 2007;119(1 Suppl 1):S2, Abs 7).

A equivalência terapêutica6 entre Vannair e Symbicort Turbuhaler foi demonstrada em dois estudos clínicos de eficácia e segurança, incluindo pacientes asmáticos de 6 a 79 anos de idade e um estudo de segurança de longo prazo em adolescentes e adultos com asma2. O perfil de segurança de Vannair demonstrou ser similar ao dos monoprodutos quando usados em combinação e ao do Symbicort Turbuhaler. Os excipientes e o propelente (apaflurano) de Vannair não aumentam a preocupação com segurança, assim a formulação de Vannair mostrou ser tão segura e bem tolerada quanto à formulação do Symbicort Turbuhaler e de outros tratamentos comparativos (Morice AH et al. Pulm Pharmacol Ther 2007 Oct 18; (Epub ahead of print); Morice AH et al. J Allergy Clin Immunol 2005; 115 (2 Suppl): S3, Abs 9; Morice AH et al. J Allergy Clin Immunol 2005; 115 (2 Suppl): S209, Abs 833; Morice AH et al. J Allergy Clin Immunol 2005; 115 (2 Suppl): S2, Abs 8).

Symbicort Turbuhaler: Estudos clínicos com Symbicort Turbuhaler mostraram que a adição de formoterol à budesonida melhorou os sintomas4 asmáticos e a função pulmonar e reduziu as exacerbações (Pauwels RA et al. N Engl J Med 1997; 337 (20):1405). O efeito de Symbicort Turbuhaler sobre a função pulmonar, quando administrado em doses de manutenção, foi igual ao da budesonida e do formoterol quando administrados em inaladores separados em adultos e excedeu a de budesonida sozinha em adultos e crianças. Todos os braços de tratamento usaram um beta-agonista3 de curta ação quando necessário. Não foram observados sinais7 de atenuação do efeito antiasmático no decorrer do tempo (Rabe KF et al. Chest 2006; 129(2): 246; Scicchitano R et al. Curr Med Res Opin 2004; 20(9):1403; O'Byrne PM et al. Am J Respir Crit Care Med 2005; 171(2):129).

– Doença pulmonar obstrutiva crônica (DPOC)

A eficácia de Vannair 6/100 mcg e 6/200 mcg no tratamento de manutenção da obstrução do fluxo de ar em pacientes com DPOC foi avaliada em três estudos multinacionais randomizados, duplo-cegos e placebo8-controlados, conduzidos por mais de 6 meses (estudo 1) e 12 meses (estudos 2 e 3), em um total de 4879 pacientes (3164 masculinos e 1715 femininos). A maioria dos pacientes (93%) era caucasiana. Foi requerido que todos os pacientes tivessem, pelo menos, 40 anos de idade; FEV1 pré-broncodilatador9 menor ou igual a 50% da predita; diagnóstico10 de DPOC com sintomas4 por, pelo menos, 2 anos; e histórico de tabagismo de, pelo menos, 10 maços/ano, antes de entrar no estudo. As variáveis de eficácia co-primária nos estudos 1 e 2 foram a mudança em relação à linha de base na FEV1 pré-dose e 1 hora pós-dose médias no período de tratamento. A variável primária do estudo 3 foi o número de exacerbações durante o período de tratamento. Os resultados de ambos os estudos estão descritos a seguir.

*Note que os resultados estão descritos com a dose medida, tanto para Vannair quanto para os comparadores, contudo nas publicações originais estão referenciados com as doses liberadas (vide Composição).

Estudo 1

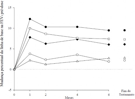
Este foi um estudo de 6 meses placebo8-controlado de 1704 pacientes com DPOC (linha de base da FEV1 média predita variando de 33,5% a 24,7%) conduzido para demonstrar a eficácia e a segurança de Vannair no tratamento da obstrução de fluxo de ar na DPOC. Os pacientes foram randomizados em um dos seguintes grupos de tratamento: Vannair 6/200 mcg (n=277); Vannair 6/100 mcg (n=281); budesonida 200 mcg + formoterol 6 mcg (n=287); formoterol 6 mcg (n=284); ou placebo8 (n=300). Pacientes recebendo Vannair 6/200 mcg, duas inalações por dia, apresentaram uma melhora média significativamente maior em relação à linha de base da FEV1 pré-dose média no período de tratamento [0,08 L; 10,7%] quando comparado com formoterol 6 mcg [0,04 L; 6,9%] e placebo8 [0,01 L; 2,2%] (vide figura 1 a seguir). Pacientes recebendo Vannair 6/100 mcg, duas inalações duas vezes ao dia, não apresentaram melhora média significativamente maior em relação à linha de base da FEV1 média pré-dose durante o período de tratamento quando comparado com formoterol 6 mcg (Tashkin DP, Rennard SI et al. Drugs 2008; 68(14): 1975-2000).

Figura 1. Porcentagem média da mudança da linha de base da FEV1 pré-dose por 6 meses (estudo 1)

Meses 0 1 2 4 6 Fim do tratamento

 

N

N

N

N

N

N

Vannair 6/200 mcg

275

266

259

250

238

266

Budesonida 200mcg

274

262

242

227

210

265

Formoterol 6 mcg

283

263

250

235

223

263

Bud 200 + For 6mcg

286

278

267

253

238

279

Placebo8

299

266

245

238

230

270

Pacientes recebendo Vannair 6/200 mcg, duas inalações ao dia, apresentaram uma melhora média significativamente maior em relação à linha de base da FEV1 1 hora pós-dose média no período de tratamento [0,20L; 22,6%], quando comparado com budesonida 160 mcg [0,03 L; 4,9%] e placebo8 [0,03 L; 4,1%] (veja figura 2).

Figura 2. Porcentagem média da mudança da linha de base da FEV1 1 hora pós-dose por 6 meses (estudo 1)

 

Meses 0 1 2 4 6 Fim do tratamento

 

N

N

N

N

N

N

Vannair 6/200 mcg

271

267

257

250

237

275

Budesonida 200mcg

274

255

241

224

210

274

Formoterol 6 mcg

282

259

248

234

221

283

Bud 200 +

For 6mcg

283

277

267

252

239

286

Placebo8

298

262

243

238

230

299

Estudo 2

Este foi um estudo de 12 meses, placebo8-controlado, de 1964 pacientes com DPOC (linha de base da FEV1 média predita variando de 33,7% a 35,5%) conduzido para demonstrar a eficácia e a segurança de Vannair no tratamento da obstrução do fluxo de ar na DPOC. Os pacientes foram randomizados em um dos seguintes grupos de tratamento: Vannair 6/200 mcg (n=494); Vannair 6/100 mcg, (n=494); formoterol 6 mcg (n=495); ou placebo8 (n=481). Pacientes recebendo Vannair 6/200 mcg, duas inalações ao dia, apresentaram uma melhora média significativamente maior em relação à linha de base da FEV1 pré-dose média no período de tratamento [0,10 L; 10,8%] quando comparado com formoterol 6 mcg [0,06 L; 7,2%] e placebo8 [0,01 L; 2,8%]. Pacientes recebendo Vannair 6/100 mcg, duas inalações ao dia, não apresentaram uma melhora média significativamente maior em relação à linha de base da FEV1 pré-dose média no período de tratamento quando comparado com o formoterol. Pacientes recebendo Vannair 6/200 mcg, duas inalações ao dia, também apresentaram uma melhora média significativamente maior em relação à linha de base da FEV1 1 hora pós-dose média no período de tratamento [0,21 L; 24,0%] quando comparado com placebo8 [0,02 L; 5,2%] (Rennard SI, Tashkin DP et al. Drugs 2009; 69(5): 549-65).

Mensurações seriadas da FEV1 por 12 horas foram obtidas em um subgrupo de pacientes no estudo 1 (n=99) e estudo 2 (n=121). O tempo médio para o início da broncodilatação11, definida como um aumento da FEV1 de 15% ou mais em relação à linha de base, ocorreu em 5 minutos após a dose. A melhora máxima (calculada como a mudança média em relação à linha de base em cada medição) na FEV1 ocorreu aproximadamente 2 horas após a dose.

Em ambos os estudos 1 e 2, houve melhora nos desfechos secundários do pico matutino e vespertino12 de fluxo expiratório e redução da medicação de resgate que suportam a eficácia de Vannair 6/200 mcg.

Estudo 3

Este foi um estudo de 12 meses, duplo-cego, de 1218 pacientes com DPOC (linha de base da FEV1 média predita foi 33%) conduzido para comparar o número de exacerbação da DPOC nos grupos Vannair 6/200 mcg, Vannair 6/100 mcg, e formoterol 6 mcg, todos os produtos administrados como duas inalações duas vezes ao dia. Ambas as doses de Vannair resultaram em redução estatística e clinicamente significativa do número de exacerbações por paciente-ano de tratamento, com redução de aproximadamente 35% na taxa de exacerbação no grupo de Vannair 6/200 mcg (razão da taxa: 0,654; p< 0,001) e redução de 26% na taxa de exacerbação no grupo de Vannair 6/100 mcg (razão da taxa: 0,741; p< 0,002). Tratamento com Vannair 6/200 mcg demonstrou um tempo prolongado para a primeira exacerbação estatisticamente significativo, quando comparado com o formoterol (p = 0,029), enquanto não houve diferença no tempo para a primeira exacerbação para a dose mais baixa de Vannair 6/100 mcg, quando comparado com o formoterol.

Ambas as doses de Vannair demonstraram um aumento estatisticamente significativo em relação à linha de base para a variável secundária FEV1 pré-dose, quando comparado com formoterol 6 mcg, para a média ao longo tratamento randomizado13. O tratamento com Vannair 6/200 mcg parece ter melhorado as pontuações de dispneia14 quando comparado com o tratamento com formoterol (valor p não ajustado = 0,026), com menos evidência para o tratamento com Vannair 6/100 mcg (valor p não ajustado = 0,98) (Sharafkhaneh A et al. Respir Med 2012Feb; 106(2): 257-68).

CARACTERÍSTICAS FARMACOLÓGICAS

Propriedades Farmacodinâmicas

Vannair contém formoterol e budesonida, substâncias que possuem diferentes modos de ação e que apresentam efeitos aditivos em termos de redução das exacerbações da asma2 e da DPOC em relação a outros produtos isoladamente. Os mecanismos de ação das duas substâncias estão discutidos a seguir:

A budesonida é um glicocorticosteroide que, quando inalado, possui ação anti-inflamatória rápida (dentro de horas) e dose-dependente nas vias aéreas, resultando em redução dos sintomas4 e menos exacerbações da asma2. A budesonida inalada apresenta menos eventos adversos graves que os corticosteroides sistêmicos15. O exato mecanismo responsável pelo efeito anti-inflamatório dos glicocorticosteroides é desconhecido.

O formoterol é um agonista3 beta-2-adrenérgico16 seletivo, que quando inalado, resulta em rápido e prolongado relaxamento do músculo liso17 brônquico em pacientes com obstrução reversível das vias aéreas. O efeito broncodilatador9 é dose-dependente, com início do efeito dentro de 1 a 3 minutos após a inalação. A duração do efeito é de pelo menos 12 horas após uma dose única.

Propriedades Farmacocinéticas

Absorção: Não existem evidências de interações farmacocinéticas entre a budesonida e o formoterol quando associados.
Em estudos em que Vannair foi administrado em pacientes sadios e com asma2 moderada, o pico das concentrações plasmáticas para a budesonida ocorreu em aproximadamente 30 minutos e para o formoterol em 10 minutos após a administração. O pico das concentrações plasmáticas foi 30-40% mais alto em pacientes sadios comparado com pacientes asmáticos. Entretanto, a exposição sistêmica total foi comparável à de pacientes asmáticos.
Em estudos de dose repetida, as concentrações plasmáticas da budesonida e do formoterol geralmente aumentaram proporcionalmente a dose.
Considerados em conjunto, estudos farmacocinéticos conduzidos em adultos com asma2, a exposição sistêmica da budesonida e do formoterol, administrados como Vannair, foi menor do que os monoprodutos correspondentes budesonida pó inalante e formoterol pó inalante, administrados via Turbuhaler (dispositivo para a administração de pó inalante). Além disso, os dados farmacocinéticos dos estudos de eficácia clínica e segurança indicam que Vannair libera uma quantidade de budesonida na circulação18 sistêmica e no pulmão19 comparável à budesonida suspensão aerossol, administrada via inalador pressurizado dosimetrado, e budesonida pó inalante, administrada via Turbuhaler. Os resultados da exposição sistêmica para o formoterol foram geralmente similares, quando administrados via Vannair, e formoterol pó inalante, administrado via Turbuhaler.
A biodisponibilidade sistêmica da budesonida e do formoterol foi comparável nos dois tratamentos com Vannair e Symbicort Turbuhaler.

Distribuição e Metabolismo20A ligação às proteínas21 plasmáticas é de aproximadamente 50% para o formoterol e de 90% para a budesonida. O volume de distribuição é de aproximadamente 4 L/kg para o formoterol e de 3 L/kg para a budesonida. O formoterol é inativado por reações de conjugação (embora se observe formação de metabólitos22 ativos O- desmetilados e desformilados, estes são essencialmente considerados como conjugados não ativos). A budesonida sofre uma ampla biotransformação (aproximadamente 90%) na primeira passagem pelo fígado23, originando metabólitos22 com uma reduzida atividade glicocorticosteroide. A atividade glicocorticosteroide dos principais metabólitos22, 6-beta-hidroxi-budesonida e 16-alfa-hidroxi-prednisolona, é inferior a 1% daquela da budesonida. Não existem sinais7 de quaisquer interações metabólicas ou reações de deslocamento entre o formoterol e a budesonida.

Eliminação: A maior parte da dose de formoterol é essencialmente eliminada por metabolismo20 hepático seguido de excreção renal24. Após a inalação de formoterol pó inalante, administrado via Turbuhaler, 8 a 13% da dose liberada de formoterol é excretada inalterada na urina25. O formoterol possui uma elevada depuração sistêmica (cerca de 1,4 L/min) e a sua meia-vida de eliminação terminal é, em média, de 17 horas.

A budesonida é eliminada por metabolismo20 catalisado pela enzima26 CYP3A4, principalmente. Os metabólitos22 da budesonida são excretados na urina25 inalterados ou sob a forma conjugada. Apenas pequenas quantidades de budesonida inalterada foram detectadas na urina25. A budesonida possui uma elevada depuração sistêmica (cerca de 1,2 L/min) e a sua meia-vida de eliminação plasmática após administração I.V. é, em média, de 4 horas.

A budesonida tem uma depuração sistêmica de aproximadamente 0,5 L/min em crianças asmáticas de 4-6 anos de idade. As crianças apresentam uma depuração por kg de peso corpóreo aproximadamente 50% maior que a de adultos. A meia-vida de eliminação da budesonida, após inalação, é de aproximadamente 2,3h em crianças asmáticas. A farmacocinética do formoterol em crianças não foi estudada.

A farmacocinética da budesonida ou do formoterol em idosos e em pacientes com insuficiência renal27 não é conhecida. A exposição à budesonida e ao formoterol poderá estar aumentada em pacientes com doença hepática28.

Dados de segurança pré-clínica

A toxicidade29 observada em estudos de experimentação animal realizados com budesonida e formoterol, administrados em associação ou separadamente, foi similar. Os efeitos foram associados às atividades farmacológicas e foram dose-dependentes.

Foi comprovado em estudos de reprodução30 animal que os corticosteroides, como a budesonida, induzem malformações31 (fenda palatina, malformações31 esqueléticas). No entanto, estes resultados obtidos em experimentação animal não parecem ser relevantes para os humanos nas doses recomendadas (vide Advertências e Precauções). Os estudos de reprodução30 animal realizados com formoterol demonstraram uma ligeira redução da fertilidade nos ratos machos submetidos a exposições sistêmicas elevadas e perdas de implantação, assim como diminuição da sobrevida32 pós-natal precoce e do peso ao nascimento com exposições sistêmicas consideravelmente superiores às atingidas durante a utilização clínica. Contudo, estes resultados obtidos na experimentação animal não parecem ser relevantes para o ser humano.

Vannair contém os excipientes povidona, macrogol e apaflurano. A segurança do uso do apaflurano foi estudada em estudos pré-clínicos. A povidona tem um histórico de segurança no uso em humanos por muitos anos, a qual apoia a visão33 de que esta é essencialmente inerte biologicamente. O macrogol é reconhecido como um excipiente seguro em produtos farmacêuticos, cosméticos e alimentícios. Além disso, estudos de toxicidade29 realizados usando Vannair não mostraram nenhuma evidência de toxicidade29 local ou sistêmica ou irritação atribuídas aos excipientes.

CONTRAINDICAÇÕES

Hipersensibilidade à budesonida, ao formoterol ou a outros componentes da fórmula.

ADVERTÊNCIAS E PRECAUÇÕES

Recomenda-se que a dose seja gradualmente reduzida caso o tratamento de longo prazo for descontinuado e não seja abruptamente interrompida.

Para minimizar o risco de candidíase34 orofaríngea35, o paciente deve ser instruído a lavar a boca36 com água após administrar as inalações de Vannair.

Se o paciente considerar que o tratamento não está sendo efetivo ou se exceder a maior dose recomendada de Vannair, deve-se consultar o médico. Uma deterioração súbita e progressiva do controle da asma2 ou DPOC é um risco potencial à vida e o paciente deve passar por uma avaliação médica com urgência37. Nesta situação, deve-se considerar a necessidade de aumentar a terapia com corticosteroides, por exemplo, um curso de corticosteroides orais ou tratamento antibiótico, se uma infecção38 estiver presente.

Os pacientes devem ser aconselhados a ter seu broncodilatador9 de rápida ação disponível para uso o tempo todo.

Vannair não deve ser usado para tratar exacerbações severas.

O crescimento de crianças e adolescentes submetidos à terapia prolongada com corticosteroides , por qualquer via, deve ser mantido sob rigoroso controle médico e devem ser avaliados os benefícios da terapêutica6 com corticosteroides em relação ao possível risco de supressão do crescimento (ver Propriedades Farmacodinâmicas).

Deve-se ter cuidado especial em pacientes provenientes de terapia com corticosteroides orais, uma vez que podem permanecer com risco de disfunção adrenal durante um tempo considerável. Pacientes que necessitaram de terapia corticosteroide de alta dose emergencial ou tratamento prolongado na maior dose recomendada de corticosteroides inalatórios também podem estar sob risco. Estes pacientes podem exibir sinais7 e sintomas4 de insuficiência39 adrenal quando expostos a situações de estresse grave. Administração de corticosteroide sistêmico40 adicional deve ser considerada durante situações de estresse ou cirurgia eletiva41.

Efeitos sistêmicos15 podem ocorrer com qualquer corticosteroide inalado, particularmente em altas doses. É muito menos provável que estes efeitos ocorram com o tratamento por inalação do que com corticosteroides orais. Possíveis efeitos sistêmicos15 incluem síndrome de Cushing42, mas também supressão adrenal com episódios hipoglicêmicos, retardamento do crescimento em crianças e adolescentes, redução da densidade óssea, catarata43 e glaucoma44. É importante, portanto, que a dose de corticosteroide inalado seja ajustada à menor dose, na qual o controle efetivo é mantido.

Vannair deve ser administrado com cautela em pacientes com graves distúrbios cardiovasculares (incluindo anomalias do ritmo cardíaco), diabete melito, hipocalemia45 não tratada ou tireotoxicose.

Pacientes com prolongamento do intervalo QTc devem ser cuidadosamente observados.

A administração de doses elevadas de beta-2 agonistas pode diminuir o potássio sérico, por induzir a redistribuição de potássio do meio extracelular para o meio intracelular via estimulação da Na+/K+-ATPase nas células musculares46. A importância clínica deste efeito não está estabelecida. Nestas situações é recomendada a monitoração dos níveis de potássio sérico.

Estudos clínicos e meta-análises indicaram que o tratamento de manutenção da DPOC com corticosteroides pode levar a um risco aumentado de pneumonia47.

Os médicos devem permanecer vigilantes quanto ao possível desenvolvimento de pneumonia47 em pacientes com DPOC, pois os aspectos clínicos da pneumonia47 e das exacerbações frequentemente se sobrepõem.

Pacientes que são transferidos de terapia sistêmica oral para terapia inalatória com Vannair devem ser monitorados cuidadosamente para sinais7 de insuficiência39 adrenal.

Pacientes que receberam altas doses de terapia corticosteroide de emergência48 ou tratamento prolongado na maior dose recomendada de corticosteroide inalado, também podem estar em risco de insuficiência39 adrenal. Assim, recomenda-se cuidado especial ao transferir pacientes para a terapia com Vannair.

Deve ocorrer redução do medicamento esteroide parenteral oral respiratório com tratamento simultâneo com Vannair, assim que o paciente estiver em uma fase estável.

A redução da dose de corticosteroide oral poderá ser feita somente em fases. Em geral, Vannair é administrado em dose moderada durante uma semana, em adição à terapia sistêmica existente. A dose diária de corticosteroide oral ou parenteral deve, dependendo do bem-estar do paciente, ser reduzida em intervalos de 1 semana à prednisolona 5 mg (ou equivalente) e, em casos graves, em fases pela metade (2,5 mg). Em poucos casos, a redução de doses orais pode levar até mesmo a uma taxa consideravelmente mais lenta. Em muitos casos, a inalação de Vannair torna possível evitar completamente a medicação corticosteroide oral ou, em casos graves, a administração de doses de corticosteroides sistêmicos15 mais baixas.

Durante a transferência ou redução de corticosteroides sistêmicos15, alguns pacientes podem apresentar sintomas4, por exemplo, dor muscular e/ou nas juntas, cansaço e depressão, apesar do controle de manutenção da asma2 ou melhora na função pulmonar. Estes pacientes devem ser encorajados a continuar com Vannair, mas devem ser monitorados para sinais7 objetivos de insuficiência39 adrenal.

Se ocorrer evidência de insuficiência39 adrenal como fadiga49, cefaleia50, náusea51 e vômitos52, as doses de corticosteroides sistêmicos15 devem ser aumentadas temporariamente. Depois disso, a descontinuação de corticosteroides sistêmicos15 deve continuar mais lentamente.

Em casos raros, a terapia corticosteroide inalada pode desmascarar uma doença eosinofílica subjacente (por exemplo, síndrome53 de Churg-Strauss). Estes casos foram geralmente associados com a descontinuação ou redução da dosagem da terapia corticosteroide sistêmica. Não foi confirmada a relação causal direta.

Precauções devem ser tomadas em pacientes com infecções54 não tratadas, bacterianas, fúngicas55, virais, parasitárias ou herpes simplex ocular.

É recomendado cuidado especial em pacientes com tuberculose56 do pulmão19 e infecções54 por fungos ou vírus57.

Se houver infecção38 por vírus57 do trato respiratório superior, a medicação regular de asma2 deve ser suspensa. Em pacientes em que se sabe que infecções54 por vírus57 do trato respiratório causam piora rápida da asma2, um tratamento curto com corticosteroide oral deve ser considerado.

Crianças em tratamento com imunossupressores são mais suscetíveis a infecções54 do que crianças saudáveis. Por exemplo, catapora58 ou sarampo59 podem causar consequências graves ou até mesmo fatais em crianças em uso de corticosteroides. Nestas crianças, ou em adultos que não tiveram estas doenças, deve ser tomado cuidado especial para evitar exposição. Se ocorrer exposição, deve-se levar em consideração terapia com imunoglobulina60 de varicela61 zoster62 ou tratamento intravenoso de imunoglobulina60 agrupado. Se houver sinais7 de uma infecção38 de catapora58, um medicamento antiviral deve ser considerado.

Efeitos na habilidade de dirigir e operar máquinas

Não é esperado que Vannair interfira na capacidade de dirigir veículos e operar máquinas.

Gravidez63 e Lactação64

Uso durante a gravidez63 e lactação64: Categoria de risco na gravidez63: C

Este medicamento não deve ser utilizado por mulheres grávidas sem orientação médica ou do cirurgião-dentista.

Não há dados clínicos disponíveis para o uso de Vannair ou para o tratamento concomitante com formoterol e budesonida na gravidez63. Os dados de estudos de desenvolvimento embrionário em ratas, usando a formulação de Vannair, não demonstraram nenhuma evidência de quaiquer efeitos adicionais da combinação ou atribuíveis aos excipientes em roedores.

Não há dados disponíveis do uso de formoterol em mulheres grávidas. Em estudos de reprodução30 animal o formoterol causou efeitos adversos em níveis muito elevados de exposição sistêmica (vide Dados de segurança pré-clínica).

Dados sobre o uso da budesonida inalatória em mais de 2.500 mulheres grávidas indicaram não haver aumento do risco teratogênico65 associado ao uso de budesonida.

Durante a gravidez63, Vannair só deve ser utilizado após avaliação cuidadosa da situação, em especial durante os primeiros três meses de gestação e pouco tempo antes do parto. Deve ser usada a menor dose eficaz de budesonida de modo a permitir o controle adequado da asma2.

Um estudo de farmacologia66 clínica mostrou que a budesonida inalada via Turbuhaler é excretada no leite materno. Entretanto, a budesonida não foi detectada em amostras de sangue67 de crianças em fase de amamentação68. Com base nos parâmetros de farmacocinética, estima-se que a concentração plasmática em crianças é menor que 0,17% da concentração plasmática materna. Consequentemente, não se esperam efeitos devido à budesonida em lactentes69 devido à administração materna previa de Vannair em doses terapêuticas.

Não se sabe se o formoterol é excretado no leite humano. Em ratas, foram detectadas pequenas quantidades de formoterol no leite materno.

A administração de Vannair em mulheres lactantes70 deve ser considerada apenas se os benefícios esperados para a mãe superarem qualquer possível risco para a criança.

Este medicamento pode causar doping.

INTERAÇÕES MEDICAMENTOSAS

Interações farmacocinéticas

O metabolismo20 da budesonida é mediado principalmente pela CYP3A4, uma subfamília do citocromo P450. Inibidores desta enzima26, como o cetoconazol ou suco de grapefruit (pomelo), podem aumentar a exposição sistêmica à budesonida. Isto é de importância clínica limitada para o tratamento de curto prazo (1-2 semanas) com cetoconazol, mas deve ser levada em consideração durante tratamento de longo prazo.

A cimetidina apresenta um leve efeito inibidor sobre o metabolismo20 hepático da budesonida. Com a administração concomitante de cimetidina, leves interações com os parâmetros farmacocinéticos da budesonida podem ocorrer. Porém, é clinicamente insignificante dentro dos limites da dose recomendada.

Fármacos como a procainamida, fenotiazina, agentes antihistamínicos (terfenadina), inibidores da monoaminooxidase (MAO71) e antidepressivos tricíclicos foram relacionados com intervalo QTc prolongado e aumento do risco de arritmia72 ventricular.

A administração concomitante de substâncias adrenérgicas pode aumentar efeitos cardiovasculares não desejados.

A administração concomitante de L-DOPA, L-tiroxina, oxitocina73 e álcool pode ter uma influência negativa sobre a tolerância cardíaca em relação aos beta-2 adrenérgicos74.

Terapia com beta-2 agonista3 pode resultar em hipocalemia45, e esta pode ser potencializada pelo tratamento concomitante com derivados de xantina, mineralocorticosteroides e diuréticos75.

A hipocalemia45 pode aumentar o risco de arritmias76 em pacientes tratados com glicosídeos digitálicos.

Interações farmacodinâmicas

Os bloqueadores beta-adrenérgicos74 (incluindo os colírios oftálmicos) podem atenuar ou inibir o efeito do formoterol.

Não foi observado que a budesonida e o formoterol interajam com outros fármacos usados no tratamento da asma2.

CUIDADOS DE ARMAZENAMENTO DO MEDICAMENTO

Cuidados de conservação

Vannair deve ser conservado em temperatura ambiente (15°C a 30°C). Armazenar o inalador com o bocal para baixo.

Vannair tem validade de 24 meses a partir da data de fabricação.

Depois de aberto o invólucro, este medicamento deve ser utilizado em 3 meses.

No interior do invólucro há um sache contendo sílica gel para absorver a umidade. Número de lote e datas de fabricação e validade: vide embalagem.

Não use medicamento com o prazo de validade vencido. Guarde-o em sua embalagem original.

Características físicas e organolépticas do produto

Vannair é apresentado na forma de suspensão aerossol de cor esbranquiçada, que deve ser mantido com a tampa fechada. O inalador é um recipiente plástico pressurizado, revestido internamente por uma lata de alumínio selado com uma válvula de medição que oferece 120 doses de Vannair após condicionamento inicial.

Antes de usar, observe o aspecto do medicamento.

Vannair contém um líquido pressurizado. Nunca fure, quebre ou aqueça o inalador mesmo quando estiver aparentemente vazio.

TODO MEDICAMENTO DEVE SER MANTIDO FORA DO ALCANCE DAS CRIANÇAS.

POSOLOGIA E MODO DE USAR

Quando o Vannair é acionado, um volume de suspensão é expelido pelo inalador em alta velocidade. Quando o paciente inala pelo bocal simultaneamente ao acionamento do inalador, a substância inspirada segue para as vias aéreas inferiores.

A dose de Vannair deve ser individualizada conforme a gravidade da doença.

Quando for obtido o controle da asma2, a dose deve ser titulada para a menor dose que permita manter o controle eficaz dos sintomas4.

POSOLOGIA

Asma2

Vannair 6/100 mcg/inalação

  • Adultos (a partir de 18 anos de idade): 2 inalações uma ou duas vezes ao dia. Em alguns casos, uma dose máxima de 4 inalações duas vezes ao dia pode ser requerida como dose temporária de manutenção durante a piora da asma2.
  • Adolescentes (12–17 anos): 2 inalações uma ou duas vezes ao dia. Durante a piora da asma2, a dose pode temporariamente ser aumentada para o máximo de 4 inalações duas vezes ao dia.
  • Crianças (6–11 anos): 2 inalações duas vezes ao dia. Dose máxima diária de 4 inalações.

Vannair 6/200 mcg/inalação

  • Adultos (a partir de 18 anos de idade): 2 inalações uma ou duas vezes ao dia. Em alguns casos, uma dose máxima de 4 inalações duas vezes ao dia pode ser requerida como dose temporária de manutenção durante a piora da asma2.
  • Adolescentes (12–17 anos): 2 inalações uma ou duas vezes ao dia. Durante a piora da asma2, a dose pode temporariamente ser aumentada para o máximo de 4 inalações duas vezes ao dia.

– Doença pulmonar obstrutiva crônica (DPOC)

Vannair 6/200 mcg/inalação

  • Adultos (a partir de 18 anos de idade): 2 inalações duas vezes ao dia. Dose máxima diária: 4 inalações.
    Não foram estabelecidas a segurança e eficácia de Vannair 6/100 mcg/inalação para o tratamento de DPOC.
    Não foram estabelecidas a segurança e eficácia de Vannair 6/200 mcg/inalação para o tratamento de DPOC em pacientes menores de 18 anos de idade.
    Os pacientes devem ser instruídos que Vannair deve ser usado mesmo quando estiverem assintomáticos, para obter o benefício máximo da terapia.
    Se o paciente esquecer de tomar uma dose de Vannair, não é necessário tomar a dose esquecida; deve-se apenas tomar a próxima dose, conforme prescrito.
  • Crianças: A experiência clínica em crianças abaixo de 6 anos de idade é limitada. Deverá ser utilizado nesta faixa etária somente a critério médico.
  • Insuficiência hepática77: não há dados disponíveis para o uso de Vannair em pacientes com insuficiência hepática77. Uma vez que a budesonida e o formoterol são essencialmente eliminados por metabolismo20 hepático, o aumento da exposição pode ocorrer em pacientes com doença hepática28 grave.
  • Insuficiência renal27: não há dados disponíveis para o uso de Vannair em pacientes com insuficiência renal27.
  • Idosos: não há ajuste de dose especial para pacientes78 idosos.

MODO DE USAR

Vannair deve ser administrado por via inalatória.

  • Antes do início do uso, o inalador Vannair deve ser retirado do invólucro de alumínio. O invólucro de alumínio deve ser jogado fora, assim como o sache do agente dessecante (usado para proteger o inalador da umidade) presente no interior do invólucro. Se o agente dessecante tiver vazado de sua embalagem, o inalador não deve ser utilizado.
  • Após retirar o inalador do invólucro de alumínio o inalador deve ser utilizado dentro de 3 meses. Na caixa de Vannair deve ser anotada a data em que o invólucro de alumínio foi aberto, para que se lembre quando o inalador não deve ser mais usado (3 meses após abrir o invólucro de alumínio). 
  • As partes do inalador são mostradas na figura a seguir. O inalador já estará montado quando for ser utilizado pela primeira vez. Não deve ser retirada qualquer parte do inalador. Se o tubo de alumínio (presente na parte de dentro do inalador) se desencaixar, este deve ser recolocado no inalador e o uso pode ser continuado.

Preparo do inalador para o uso

O inalador deve ser preparado para uso nas seguintes situações:

  • Quando utilizado pela primeira vez.
  • Se o inalador não tiver sido utilizado por mais de 7 (sete) dias.
  • Se o inalador for derrubado.

Para o preparo do inalador para uso as seguintes instruções devem ser seguidas:

  1. Agitar bem o inalador por 5 segundos para misturar o conteúdo do tubo de alumínio (aerossol).
  2. Remover a tampa do bocal, pressionando levemente as laterais da tampa. A tira que segura a tampa do bocal permanecerá presa ao inalador.
  3. Segurar o inalador na posição vertical. Em seguida, apertar o contador (no topo do inalador) para baixo para a liberação de um jato de spray no ar. Pode ser usada uma ou duas mãos79 para segurar o inalador, como mostrado nas figuras a seguir.
  4. Retirar os dedos do contador.
  5. Esperar 10 segundos. Agitar bem o inalador e repetir os passos 3 e 4 novamente.
  6. O inalador está pronto para ser usado.
     OU 

Como administrar uma inalação

Ao administrar uma inalação as instruções a seguir devem ser seguidas:

  1. Agitar bem o inalador por 5 segundos para misturar o conteúdo do tubo de alumínio.
  2. Remover a tampa do bocal, pressionando levemente as laterais da tampa. Verificar se o bocal não está bloqueado.
  3. Segurar o inalador na posição vertical (usando uma ou duas mãos79). Expirar suavemente.
  4. Colocar o bocal entre os dentes e fechar os lábios em torno dele.
  5. Inspirar lenta e profundamente pela boca36. Enquanto isso pressionar o contador (no topo do inalador) firmemente para baixo para liberar uma inalação (jato de spray). Continuar inspirando por um curto tempo depois de ter apertado o contador.
  6. Segurar a respiração por até 10 segundos ou pelo tempo que achar confortável.
  7. Antes de expirar, retirar o dedo do contador e remover o inalador de sua boca36, mantendo o inalador na posição vertical.
  8. Expirar lentamente. Para administrar outra inalação, agitar bem o inalador por 5 segundos e repetir os passos 3 a 7.
  9. Colocar a tampa no bocal. Sempre guardar o inalador Vannair na posição vertical.
  10. Enxaguar a boca36 com água depois de administrar as inalações da manhã e/ou da noite e não engolir a água.

Limpeza do inalador Vannair

  • O bocal do inalador deve ser limpo pelo menos uma vez por semana (a cada 7 dias) da seguinte maneira:
  • Remover a tampa do bocal.
  • Limpar a parte interna e externa do bocal com um pano seco e limpo.
  • Não usar água ou outros líquidos e não remover do inalador o tubo de alumínio (no interior do inalador).
  • Colocar a tampa no bocal.
  • Não colocar o inalador na água.
  • Não tentar separar as partes do inalador.

Funcionamento do contador do inalador Vannair

  • O contador de doses fica no topo do inalador. O contador mostra quantas inalações (jatos de spray) tem o medicamento Vannair. O contador começa com “120” inalações quando está repleto e move a seta de “120” até ”0” (zero) conforme o uso.
  • Cada vez que uma inalação (jato de spray) for administrada ou uma inalação para o ar for liberada, a seta se moverá em direção ao número “0”. A seta aponta para o número de inalações que ainda restam no inalador.
  • Quando a seta do contador atingir a área amarela, isto significa que ainda restam cerca de 20 inalações (jatos de spray). Este é o momento de adquirir um novo inalador Vannair.
  • Quando a seta alcançar o número “0”, deve ser iniciado o uso de um novo inalador Vannair. O inalador pode ainda conter aerossol no seu interior e o paciente terá a impressão de que ainda funciona, mas se continuar a usá-lo não estará administrando a dose certa do medicamento.
  • O inalador deve ser descartado quando atingir o número “0” (zero), que indica o término do número de inalações a serem usadas, ou após 3 meses da abertura do invólucro de alumínio.

REAÇÕES ADVERSAS

Vannair contém budesonida e formoterol, portanto, pode ocorrer o mesmo tipo e intensidade de reações adversas observadas com estas substâncias. Não se observou qualquer aumento da incidência80 de reações adversas após a administração concomitante dos dois compostos. As reações adversas mais frequentes relacionadas ao medicamento consistem em efeitos colaterais81 farmacologicamente previsíveis da terapêutica6 beta-2 agonista3, tais como tremor e palpitações82. Estes tendem a ser leves e a desaparecer após alguns dias de tratamento.

As reações adversas que foram associadas à budesonida ou ao formoterol são apresentadas a seguir: 

Frequência

Sistema

Reação

Comum (≥ 1/100 e < 1/10)

Distúrbios cardíacos

Palpitações82

Infecções54 e infestações

Candidíase34 na orofaringe83, Pneumonia47 (em pacientes com DPOC)

Distúrbios do sistema nervoso84

Cefaleia50, tremor

Distúrbios respiratórios, torácicos e do mediastino85

Leve irritação na garganta86, tosse, rouquidão

Incomum (≥ 1/1.000 e < 1/100)

Distúrbios cardíacos

Taquicardia87

Distúrbios gastrointestinais

Náusea51

Distúrbios músculo- esqueléticos e do tecido conjuntivo88

Cãibras musculares

Distúrbios do sistema nervoso84

Tontura89

Distúrbios psiquiátricos

Agitação, ansiedade, nervosismo, perturbações do sono

Rara (≥ 1/10.000 e < 1/1.000)

Distúrbios cardíacos

Arritmias76 cardíacas, por exemplo, fibrilação atrial, taquicardia87 supraventricular e extra-sístole90

Distúrbios do sistema imune91

Reações de hipersensibilidade imediatas e tardias, por exemplo, dermatite92, exantema93, urticária94, prurido95, angioedema96 e reações anafiláticas97

Distúrbios respiratórios, torácicos e do mediastino85

Broncoespasmo98

Distúrbios da pele e tecido subcutâneo99

Equimose100

Muito rara (< 1/10.000)

Distúrbios cardíacos

Angina101 pectoris

Distúrbios endócrinos

Sinais7 ou sintomas4 de efeitos glicocorticosteroides sistêmicos15, por exemplo, hipofunção da glândula102 supra-renal103

Distúrbios metabólicos e nutricionais

Hiperglicemia104

Distúrbios psiquiátricos

Depressão, alterações do comportamento

Sinais7 ou sintomas4 de efeito glicocorticoide sistêmico40 podem ocorrer raramente, incluindo, catarata43 e glaucoma44.

Tratamento com beta-2 adrenérgicos74 pode resultar em aumento dos níveis de insulina105, ácidos graxos livres, glicerol e corpos cetônicos.

Em casos de eventos adversos, notifique pelo Sistema VigiMed, disponível no Portal da Anvisa.

SUPERDOSE

A superdosagem de formoterol irá provavelmente provocar efeitos típicos dos agonistas beta-2-adrenérgicos74: tremor, cefaleia50, palpitações82 e taquicardia87. Igualmente, poderá ocorrer hipotensão106, acidose metabólica107, hipocalemia45 e hiperglicemia104. Pode ser indicado o tratamento de suporte e sintomático108. A administração de uma dose de 90 mcg durante três horas, em pacientes com obstrução brônquica aguda, e a administração três vezes ao dia no total de 54 mcg/dia por 3 dias, para a estabilidade asmática, não suscitaram quaisquer problemas de segurança.

Não é esperado que a superdosagem aguda da budesonida, mesmo em doses excessivas, constitua um problema clínico. Quando utilizada cronicamente em doses excessivas, podem ocorrer efeitos glicocorticosteroides sistêmicos15.

Superdosagem grave

Se o medicamento foi administrado oralmente na última 1 hora e se intoxicação grave é uma possibilidade potencial, recomenda-se:

  • Lavagem gástrica109 seguida (possivelmente repetida) pela administração de carvão.
  • Monitoramento e correção de eletrólitos110 e equilíbrio ácido-base.
  • Administração de betabloqueadores cardioseletivos submetida às precauções correspondentes, tendo em mente a possível ativação da asma2.

Em caso de intoxicação ligue para 0800 722 6001, se você precisar de mais orientações.

DIZERES LEGAIS


VENDA SOB PRESCRIÇÃO MÉDICA
 

MS - 1.1618.0234
Farm. Resp.: Dra. Gisele H. V. C. Teixeira - CRF-SP nº 19.825

Fabricado por:
AstraZeneca Dunkerque Production
Dunkerque – França

Importado por:
AstraZeneca do Brasil Ltda.
Rod. Raposo Tavares, km 26,9
Cotia - SP - CEP 06707-000
CNPJ 60.318.797/0001-00


SAC 0800 014 5578

Antes de consumir qualquer medicamento, consulte seu médico (http://www.catalogo.med.br).

Complementos

1 Saúde: 1. Estado de equilíbrio dinâmico entre o organismo e o seu ambiente, o qual mantém as características estruturais e funcionais do organismo dentro dos limites normais para sua forma de vida e para a sua fase do ciclo vital. 2. Estado de boa disposição física e psíquica; bem-estar. 3. Brinde, saudação que se faz bebendo à saúde de alguém. 4. Força física; robustez, vigor, energia.
2 Asma: Doença das vias aéreas inferiores (brônquios), caracterizada por uma diminuição aguda do calibre bronquial em resposta a um estímulo ambiental. Isto produz obstrução e dificuldade respiratória que pode ser revertida de forma espontânea ou com tratamento médico.
3 Agonista: 1. Em farmacologia, agonista refere-se às ações ou aos estímulos provocados por uma resposta, referente ao aumento (ativação) ou diminuição (inibição) da atividade celular. Sendo uma droga receptiva. 2. Lutador. Na Grécia antiga, pessoa que se dedicava à ginástica para fortalecer o físico ou como preparação para o serviço militar.
4 Sintomas: Alterações da percepção normal que uma pessoa tem de seu próprio corpo, do seu metabolismo, de suas sensações, podendo ou não ser um indício de doença. Os sintomas são as queixas relatadas pelo paciente mas que só ele consegue perceber. Sintomas são subjetivos, sujeitos à interpretação pessoal. A variabilidade descritiva dos sintomas varia em função da cultura do indivíduo, assim como da valorização que cada pessoa dá às suas próprias percepções.
5 Sinal: 1. É uma alteração percebida ou medida por outra pessoa, geralmente um profissional de saúde, sem o relato ou comunicação do paciente. Por exemplo, uma ferida. 2. Som ou gesto que indica algo, indício. 3. Dinheiro que se dá para garantir um contrato.
6 Terapêutica: Terapia, tratamento de doentes.
7 Sinais: São alterações percebidas ou medidas por outra pessoa, geralmente um profissional de saúde, sem o relato ou comunicação do paciente. Por exemplo, uma ferida.
8 Placebo: Preparação neutra quanto a efeitos farmacológicos, ministrada em substituição a um medicamento, com a finalidade de suscitar ou controlar as reações, geralmente de natureza psicológica, que acompanham tal procedimento terapêutico.
9 Broncodilatador: Substância farmacologicamente ativa que promove a dilatação dos brônquios.
10 Diagnóstico: Determinação de uma doença a partir dos seus sinais e sintomas.
11 Broncodilatação: Aumento do diâmetro dos brônquios e dos bronquíolos pulmonares devido ao relaxamento do músculo liso das vias aéreas.
12 Vespertino: Relativo, pertencente a ou próprio do período da tarde. Que ocorre à tarde.
13 Randomizado: Ensaios clínicos comparativos randomizados são considerados o melhor delineamento experimental para avaliar questões relacionadas a tratamento e prevenção. Classicamente, são definidos como experimentos médicos projetados para determinar qual de duas ou mais intervenções é a mais eficaz mediante a alocação aleatória, isto é, randomizada, dos pacientes aos diferentes grupos de estudo. Em geral, um dos grupos é considerado controle – o que algumas vezes pode ser ausência de tratamento, placebo, ou mais frequentemente, um tratamento de eficácia reconhecida. Recursos estatísticos são disponíveis para validar conclusões e maximizar a chance de identificar o melhor tratamento. Esses modelos são chamados de estudos de superioridade, cujo objetivo é determinar se um tratamento em investigação é superior ao agente comparativo.
14 Dispnéia: Falta de ar ou dificuldade para respirar caracterizada por respiração rápida e curta, geralmente está associada a alguma doença cardíaca ou pulmonar.
15 Sistêmicos: 1. Relativo a sistema ou a sistemática. 2. Relativo à visão conspectiva, estrutural de um sistema; que se refere ou segue um sistema em seu conjunto. 3. Disposto de modo ordenado, metódico, coerente. 4. Em medicina, é o que envolve o organismo como um todo ou em grande parte.
16 Adrenérgico: Que age sobre certos receptores específicos do sistema simpático, como o faz a adrenalina.
17 Músculo Liso: Um dos músculos dos órgãos internos, vasos sanguíneos, folículos pilosos etc.; os elementos contráteis são alongados, em geral células fusiformes com núcleos de localização central e comprimento de 20 a 200 mü-m, ou ainda maior no útero grávido; embora faltem as estrias traversas, ocorrem miofibrilas espessas e delgadas; encontram-se fibras musculares lisas juntamente com camadas ou feixes de fibras reticulares e, freqüentemente, também são abundantes os ninhos de fibras elásticas. (Stedman, 25ª ed)
18 Circulação: 1. Ato ou efeito de circular. 2. Facilidade de se mover usando as vias de comunicação; giro, curso, trânsito. 3. Movimento do sangue, fluxo de sangue através dos vasos sanguíneos do corpo e do coração.
19 Pulmão: Cada um dos órgãos pareados que ocupam a cavidade torácica que tem como função a oxigenação do sangue.
20 Metabolismo: É o conjunto de transformações que as substâncias químicas sofrem no interior dos organismos vivos. São essas reações que permitem a uma célula ou um sistema transformar os alimentos em energia, que será ultilizada pelas células para que as mesmas se multipliquem, cresçam e movimentem-se. O metabolismo divide-se em duas etapas: catabolismo e anabolismo.
21 Proteínas: Um dos três principais nutrientes dos alimentos. Alimentos que fornecem proteína incluem carne vermelha, frango, peixe, queijos, leite, derivados do leite, ovos.
22 Metabólitos: Qualquer composto intermediário das reações enzimáticas do metabolismo.
23 Fígado: Órgão que transforma alimento em energia, remove álcool e toxinas do sangue e fabrica bile. A bile, produzida pelo fígado, é importante na digestão, especialmente das gorduras. Após secretada pelas células hepáticas ela é recolhida por canalículos progressivamente maiores que a levam para dois canais que se juntam na saída do fígado e a conduzem intermitentemente até o duodeno, que é a primeira porção do intestino delgado. Com esse canal biliar comum, chamado ducto hepático, comunica-se a vesícula biliar através de um canal sinuoso, chamado ducto cístico. Quando recebe esse canal de drenagem da vesícula biliar, o canal hepático comum muda de nome para colédoco. Este, ao entrar na parede do duodeno, tem um músculo circular, designado esfíncter de Oddi, que controla o seu esvaziamento para o intestino.
24 Renal: Relacionado aos rins. Uma doença renal é uma doença dos rins. Insuficiência renal significa que os rins pararam de funcionar.
25 Urina: Resíduo líquido produzido pela filtração renal no organismo, estocado na bexiga e expelido pelo ato de urinar.
26 Enzima: Proteína produzida pelo organismo que gera uma reação química. Por exemplo, as enzimas produzidas pelo intestino que ajudam no processo digestivo.
27 Insuficiência renal: Condição crônica na qual o corpo retém líquido e excretas pois os rins não são mais capazes de trabalhar apropriadamente. Uma pessoa com insuficiência renal necessita de diálise ou transplante renal.
28 Hepática: Relativa a ou que forma, constitui ou faz parte do fígado.
29 Toxicidade: Capacidade de uma substância produzir efeitos prejudiciais ao organismo vivo.
30 Reprodução: 1. Função pela qual se perpetua a espécie dos seres vivos. 2. Ato ou efeito de reproduzir (-se). 3. Imitação de quadro, fotografia, gravura, etc.
31 Malformações: 1. Defeito na forma ou na formação; anomalia, aberração, deformação. 2. Em patologia, é vício de conformação de uma parte do corpo, de origem congênita ou hereditária, geralmente curável por cirurgia. Ela é diferente da deformação (que é adquirida) e da monstruosidade (que é incurável).
32 Sobrevida: Prolongamento da vida além de certo limite; prolongamento da existência além da morte, vida futura.
33 Visão: 1. Ato ou efeito de ver. 2. Percepção do mundo exterior pelos órgãos da vista; sentido da vista. 3. Algo visto, percebido. 4. Imagem ou representação que aparece aos olhos ou ao espírito, causada por delírio, ilusão, sonho; fantasma, visagem. 5. No sentido figurado, concepção ou representação, em espírito, de situações, questões etc.; interpretação, ponto de vista. 6. Percepção de fatos futuros ou distantes, como profecia ou advertência divina.
34 Candidíase: É o nome da infecção produzida pela Candida albicans, um fungo que produz doença em mucosas, na pele ou em órgãos profundos (candidíase sistêmica).As infecções profundas podem ser mais freqüentes em pessoas com deficiência no sistema imunológico (pacientes com câncer, SIDA, etc.).
35 Orofaríngea: Relativo à orofaringe.
36 Boca: Cavidade oral ovalada (localizada no ápice do trato digestivo) composta de duas partes
37 Urgência: 1. Necessidade que requer solução imediata; pressa. 2. Situação crítica ou muito grave que tem prioridade sobre outras; emergência.
38 Infecção: Doença produzida pela invasão de um germe (bactéria, vírus, fungo, etc.) em um organismo superior. Como conseqüência da mesma podem ser produzidas alterações na estrutura ou funcionamento dos tecidos comprometidos, ocasionando febre, queda do estado geral, e inúmeros sintomas que dependem do tipo de germe e da reação imunológica perante o mesmo.
39 Insuficiência: Incapacidade de um órgão ou sistema para realizar adequadamente suas funções.Manifesta-se de diferentes formas segundo o órgão comprometido. Exemplos: insuficiência renal, hepática, cardíaca, respiratória.
40 Sistêmico: 1. Relativo a sistema ou a sistemática. 2. Relativo à visão conspectiva, estrutural de um sistema; que se refere ou segue um sistema em seu conjunto. 3. Disposto de modo ordenado, metódico, coerente. 4. Em medicina, é o que envolve o organismo como um todo ou em grande parte.
41 Eletiva: 1. Relativo à eleição, escolha, preferência. 2. Em medicina, sujeito à opção por parte do médico ou do paciente. Por exemplo, uma cirurgia eletiva é indicada ao paciente, mas não é urgente. 3. Cujo preenchimento depende de eleição (diz-se de cargo). 4. Em bioquímica ou farmácia, aquilo que tende a se combinar com ou agir sobre determinada substância mais do que com ou sobre outra.
42 Síndrome de Cushing: A síndrome de Cushing, hipercortisolismo ou hiperadrenocortisolismo, é um conjunto de sinais e sintomas que indicam excesso de cortisona (hormônio) no sangue. Esse hormônio é liberado pela glândula adrenal (também conhecida como suprarrenal) em resposta à liberação de ACTH pela hipófise no cérebro. Níveis elevados de cortisol (ou cortisona) também podem ocorrer devido à administração de certos medicamentos, como hormônios glicocorticoides. A síndrome de Cushing e a doença de Cushing são muito parecidas, já que o que a causa de ambas é o elevado nível de cortisol no sangue. O que difere é a origem dessa elevação. A doença de Cushing diz respeito, exclusivamente, a um tumor na hipófise que passa a secretar grande quantidade de ACTH e, consequentemente, há um aumento na liberação de cortisol pelas adrenais. Já a síndrome de Cushing pode ocorrer, por exemplo, devido a um tumor presente nas glândulas suprarrenais ou pela administração excessiva de corticoides.
43 Catarata: Opacificação das lentes dos olhos (opacificação do cristalino).
44 Glaucoma: É quando há aumento da pressão intra-ocular e danos ao nervo óptico decorrentes desse aumento de pressão. Esses danos se expressam no exame de fundo de olho e por alterações no campo de visão.
45 Hipocalemia: Concentração sérica de potássio inferior a 3,5 mEq/l. Pode ocorrer por alterações na distribuição de potássio (desvio do compartimento extracelular para intracelular) ou de reduções efetivas no conteúdo corporal de potássio por uma menor ingesta ou por perda aumentada. Fraqueza muscular e arritimias cardíacas são os sinais e sintomas mais comuns, podendo haver também poliúria, polidipsia e constipação. Pode ainda ser assintomática.
46 Células Musculares: Células contráteis maduras, geralmente conhecidas como miócitos, que formam um dos três tipos de músculo. Os três tipos de músculo são esquelético (FIBRAS MUSCULARES), cardíaco (MIÓCITOS CARDÍACOS) e liso (MIÓCITOS DE MÚSCULO LISO). Provêm de células musculares embrionárias (precursoras) denominadas MIOBLASTOS.
47 Pneumonia: Inflamação do parênquima pulmonar. Sua causa mais freqüente é a infecção bacteriana, apesar de que pode ser produzida por outros microorganismos. Manifesta-se por febre, tosse, expectoração e dor torácica. Em pacientes idosos ou imunodeprimidos pode ser uma doença fatal.
48 Emergência: 1. Ato ou efeito de emergir. 2. Situação grave, perigosa, momento crítico ou fortuito. 3. Setor de uma instituição hospitalar onde são atendidos pacientes que requerem tratamento imediato; pronto-socorro. 4. Eclosão. 5. Qualquer excrescência especializada ou parcial em um ramo ou outro órgão, formada por tecido epidérmico (ou da camada cortical) e um ou mais estratos de tecido subepidérmico, e que pode originar nectários, acúleos, etc. ou não se desenvolver em um órgão definido.
49 Fadiga: 1. Sensação de enfraquecimento resultante de esforço físico. 2. Trabalho cansativo. 3. Redução gradual da resistência de um material ou da sensibilidade de um equipamento devido ao uso continuado.
50 Cefaleia: Sinônimo de dor de cabeça. Este termo engloba todas as dores de cabeça existentes, ou seja, enxaqueca ou migrânea, cefaleia ou dor de cabeça tensional, cefaleia cervicogênica, cefaleia em pontada, cefaleia secundária a sinusite, etc... são tipos dentro do grupo das cefaleias ou dores de cabeça. A cefaleia tipo tensional é a mais comum (acomete 78% da população), seguida da enxaqueca ou migrânea (16% da população).
51 Náusea: Vontade de vomitar. Forma parte do mecanismo complexo do vômito e pode ser acompanhada de sudorese, sialorréia (salivação excessiva), vertigem, etc.
52 Vômitos: São a expulsão ativa do conteúdo gástrico pela boca. Podem ser classificados em: alimentar, fecalóide, biliar, em jato, pós-prandial. Sinônimo de êmese. Os medicamentos que agem neste sintoma são chamados de antieméticos.
53 Síndrome: Conjunto de sinais e sintomas que se encontram associados a uma entidade conhecida ou não.
54 Infecções: Doença produzida pela invasão de um germe (bactéria, vírus, fungo, etc.) em um organismo superior. Como conseqüência da mesma podem ser produzidas alterações na estrutura ou funcionamento dos tecidos comprometidos, ocasionando febre, queda do estado geral, e inúmeros sintomas que dependem do tipo de germe e da reação imunológica perante o mesmo.
55 Fúngicas: Relativas à ou produzidas por fungo.
56 Tuberculose: Doença infecciosa crônica produzida pelo bacilo de Koch (Mycobacterium tuberculosis). Produz doença pulmonar, podendo disseminar-se para qualquer outro órgão. Os sintomas de tuberculose pulmonar consistem em febre, tosse, expectoração, hemoptise, acompanhada de perda de peso e queda do estado geral. Em países em desenvolvimento (como o Brasil) aconselha-se a vacinação com uma cepa atenuada desta bactéria (vacina BCG).
57 Vírus: Pequeno microorganismo capaz de infectar uma célula de um organismo superior e replicar-se utilizando os elementos celulares do hospedeiro. São capazes de causar múltiplas doenças, desde um resfriado comum até a AIDS.
58 Catapora: Doença infecciosa aguda, comum na infância, também chamada de varicela. Ela é provocada por vírus e caracterizada por febre e erupção maculopapular rápida, seguida de erupção de vesículas eritematosas muito pruriginosas.
59 Sarampo: Doença infecciosa imunoprevenível, altamente transmissível por via respiratória, causada pelo vírus do sarampo e de imunidade permanente. Geralmente ocorre na infância, mas pode afetar adultos susceptíveis (não imunes). As manifestações clínicas são febre alta, tosse seca persistente, coriza, conjuntivite, aumento dos linfonodos do pescoço e manchas avermelhadas na pele. Em cerca de 30% das pessoas com sarampo podem ocorrer complicações como diarréia, otite, pneumonia e encefalite.
60 Imunoglobulina: Proteína do soro sanguíneo, sintetizada pelos plasmócitos provenientes dos linfócitos B como reação à entrada de uma substância estranha (antígeno) no organismo; anticorpo.
61 Varicela: Doença viral freqüente na infância e caracterizada pela presença de febre e comprometimento do estado geral juntamente com a aparição característica de lesões que têm vários estágios. Primeiro são pequenas manchas avermelhadas, a seguir formam-se pequenas bolhas que finalmente rompem-se deixando uma crosta. É contagiosa, mas normalmente não traz maiores conseqüências à criança. As bolhas e suas crostas, se não sofrerem infecção secundária, não deixam cicatriz.
62 Zoster: Doença produzida pelo mesmo vírus que causa a varicela (Varicela-Zóster). Em pessoas que já tenham tido varicela, o vírus se encontra em forma latente e pode ser reativado produzindo as características manchas avermelhadas, vesículas e crostas no território de distribuição de um determinado nervo. Como seqüela pode deixar neurite, com dores importantes.
63 Gravidez: Condição de ter um embrião ou feto em desenvolvimento no trato reprodutivo feminino após a união de ovo e espermatozóide.
64 Lactação: Fenômeno fisiológico neuro-endócrino (hormonal) de produção de leite materno pela puérpera no pós-parto; independente dela estar ou não amamentando.Toda mulher após o parto tem produção de leite - lactação; mas, infelizmente nem todas amamentam.
65 Teratogênico: Agente teratogênico ou teratógeno é tudo aquilo capaz de produzir dano ao embrião ou feto durante a gravidez. Estes danos podem se refletir como perda da gestação, malformações ou alterações funcionais ou ainda distúrbios neurocomportamentais, como retardo mental.
66 Farmacologia: Ramo da medicina que estuda as propriedades químicas dos medicamentos e suas respectivas classificações.
67 Sangue: O sangue é uma substância líquida que circula pelas artérias e veias do organismo. Em um adulto sadio, cerca de 45% do volume de seu sangue é composto por células (a maioria glóbulos vermelhos, glóbulos brancos e plaquetas). O sangue é vermelho brilhante, quando oxigenado nos pulmões (nos alvéolos pulmonares). Ele adquire uma tonalidade mais azulada, quando perde seu oxigênio, através das veias e dos pequenos vasos denominados capilares.
68 Amamentação: Ato da nutriz dar o peito e o lactente mamá-lo diretamente. É um fenômeno psico-sócio-cultural. Dar de mamar a; criar ao peito; aleitar; lactar... A amamentação é uma forma de aleitamento, mas há outras formas.
69 Lactentes: Que ou aqueles que mamam, bebês. Inclui o período neonatal e se estende até 1 ano de idade (12 meses).
70 Lactantes: Que produzem leite; que aleitam.
71 Mão: Articulação entre os ossos do metacarpo e as falanges.
72 Arritmia: Arritmia cardíaca é o nome dado a diversas perturbações que alteram a frequência ou o ritmo dos batimentos cardíacos.
73 Oxitocina: Hormônio produzido pelo hipotálamo e armazenado na hipófise posterior (neuro-hipófise). Tem a função de promover as contrações uterinas durante o parto e a ejeção do leite durante a amamentação.
74 Adrenérgicos: Que agem sobre certos receptores específicos do sistema simpático, como o faz a adrenalina.
75 Diuréticos: Grupo de fármacos que atuam no rim, aumentando o volume e o grau de diluição da urina. Eles depletam os níveis de água e cloreto de sódio sangüíneos. São usados no tratamento da hipertensão arterial, insuficiência renal, insuficiência cardiaca ou cirrose do fígado. Há dois tipos de diuréticos, os que atuam diretamente nos túbulos renais, modificando a sua atividade secretora e absorvente; e aqueles que modificam o conteúdo do filtrado glomerular, dificultando indiretamente a reabsorção da água e sal.
76 Arritmias: Arritmia cardíaca é o nome dado a diversas perturbações que alteram a frequência ou o ritmo dos batimentos cardíacos.
77 Insuficiência hepática: Deterioração grave da função hepática. Pode ser decorrente de hepatite viral, cirrose e hepatopatia alcoólica (lesão hepática devido ao consumo de álcool) ou medicamentosa (causada por medicamentos como, por exemplo, o acetaminofeno). Para que uma insuficiência hepática ocorra, deve haver uma lesão de grande porção do fígado.
78 Para pacientes: Você pode utilizar este texto livremente com seus pacientes, inclusive alterando-o, de acordo com a sua prática e experiência. Conheça todos os materiais Para Pacientes disponíveis para auxiliar, educar e esclarecer seus pacientes, colaborando para a melhoria da relação médico-paciente, reunidos no canal Para Pacientes . As informações contidas neste texto são baseadas em uma compilação feita pela equipe médica da Centralx. Você deve checar e confirmar as informações e divulgá-las para seus pacientes de acordo com seus conhecimentos médicos.
79 Mãos: Articulação entre os ossos do metacarpo e as falanges.
80 Incidência: Medida da freqüência em que uma doença ocorre. Número de casos novos de uma doença em um certo grupo de pessoas por um certo período de tempo.
81 Efeitos colaterais: 1. Ação não esperada de um medicamento. Ou seja, significa a ação sobre alguma parte do organismo diferente daquela que precisa ser tratada pelo medicamento. 2. Possível reação que pode ocorrer durante o uso do medicamento, podendo ser benéfica ou maléfica.
82 Palpitações: Designa a sensação de consciência do batimento do coração, que habitualmente não se sente. As palpitações são detectadas usualmente após um exercício violento, em situações de tensão ou depois de um grande susto, quando o coração bate com mais força e/ou mais rapidez que o normal.
83 Orofaringe: Parte mediana da faringe, entre a boca e a rinofaringe.
84 Sistema nervoso: O sistema nervoso é dividido em sistema nervoso central (SNC) e o sistema nervoso periférico (SNP). O SNC é formado pelo encéfalo e pela medula espinhal e a porção periférica está constituída pelos nervos cranianos e espinhais, pelos gânglios e pelas terminações nervosas.
85 Mediastino: Região anatômica do tórax onde se localizam diversas estruturas, dentre elas o coração.
86 Garganta: Tubo fibromuscular em forma de funil, que leva os alimentos ao ESÔFAGO e o ar à LARINGE e PULMÕES. Situa-se posteriormente à CAVIDADE NASAL, à CAVIDADE ORAL e à LARINGE, extendendo-se da BASE DO CRÂNIO à borda inferior da CARTILAGEM CRICÓIDE (anteriormente) e à borda inferior da vértebra C6 (posteriormente). É dividida em NASOFARINGE, OROFARINGE e HIPOFARINGE (laringofaringe).
87 Taquicardia: Aumento da frequência cardíaca. Pode ser devido a causas fisiológicas (durante o exercício físico ou gravidez) ou por diversas doenças como sepse, hipertireoidismo e anemia. Pode ser assintomática ou provocar palpitações.
88 Tecido conjuntivo: Tecido que sustenta e conecta outros tecidos. Consiste de CÉLULAS DO TECIDO CONJUNTIVO inseridas em uma grande quantidade de MATRIZ EXTRACELULAR.
89 Tontura: O indivíduo tem a sensação de desequilíbrio, de instabilidade, de pisar no vazio, de que vai cair.
90 Extra-sístole: São contrações prematuras do coração que interrompem brevemente o compasso normal das batidas e são sentidas, geralmente, como uma pausa, seguida ou não de um batimento mais forte. Muitas pessoas referem que sentem como se o coração fosse parar. Podem se originar nos átrios ou nos ventrículos, sendo chamadas, respectivamente, de extra-sístoles atriais ou ventriculares.
91 Sistema imune: Sistema de defesa do organismo contra infecções e outros ataques de micro-organismos que enfraquecem o nosso corpo.
92 Dermatite: Inflamação das camadas superficiais da pele, que pode apresentar-se de formas variadas (dermatite seborreica, dermatite de contato...) e é produzida pela agressão direta de microorganismos, substância tóxica ou por uma resposta imunológica inadequada (alergias, doenças auto-imunes).
93 Exantema: Alteração difusa da coloração cutânea, caracterizada por eritema, com elevação das camadas mais superficiais da pele (pápulas), vesículas, etc. Pode ser produzido por uma infecção geralmente viral (rubéola, varicela, sarampo), por alergias a medicamentos, etc.
94 Urticária: Reação alérgica manifestada na pele como elevações pruriginosas, acompanhadas de vermelhidão da mesma. Pode afetar uma parte ou a totalidade da pele. Em geral é autolimitada e cede em pouco tempo, podendo apresentar períodos de melhora e piora ao longo de vários dias.
95 Prurido: 1.    Na dermatologia, o prurido significa uma sensação incômoda na pele ou nas mucosas que leva a coçar, devido à liberação pelo organismo de substâncias químicas, como a histamina, que irritam algum nervo periférico. 2.    Comichão, coceira. 3.    No sentido figurado, prurido é um estado de hesitação ou dor na consciência; escrúpulo, preocupação, pudor. Também pode significar um forte desejo, impaciência, inquietação.
96 Angioedema: Caracteriza-se por áreas circunscritas de edema indolor e não-pruriginoso decorrente de aumento da permeabilidade vascular. Os locais mais acometidos são a cabeça e o pescoço, incluindo os lábios, assoalho da boca, língua e laringe, mas o edema pode acometer qualquer parte do corpo. Nos casos mais avançados, o angioedema pode causar obstrução das vias aéreas. A complicação mais grave é o inchaço na garganta (edema de glote).
97 Reações anafiláticas: É um tipo de reação alérgica sistêmica aguda. Esta reação ocorre quando a pessoa foi sensibilizada (ou seja, quando o sistema imune foi condicionado a reconhecer uma substância como uma ameaça ao organismo). Na segunda exposição ou nas exposições subseqüentes, ocorre uma reação alérgica. Essa reação é repentina, grave e abrange o corpo todo. O sistema imune libera anticorpos. Os tecidos liberam histamina e outras substâncias. Esse mecanismo causa contrações musculares, constrição das vias respiratórias, dificuldade respiratória, dor abdominal, cãimbras, vômitos e diarréia. A histamina leva à dilatação dos vasos sangüíneos (que abaixa a pressão sangüínea) e o vazamento de líquidos da corrente sangüínea para os tecidos (que reduzem o volume de sangue) o que provoca o choque. Ocorrem com freqüência a urticária e o angioedema - este angioedema pode resultar na obstrução das vias respiratórias. Uma anafilaxia prolongada pode causar arritmia cardíaca.
98 Broncoespasmo: Contração do músculo liso bronquial, capaz de produzir estreitamento das vias aéreas, manifestado por sibilos no tórax e falta de ar. É uma contração vista com freqüência na asma.
99 Pele e Tecido Subcutâneo: Revestimento externo do corpo composto por PELE, seus acessórios (CABELO, UNHAS, GLÂNDULAS SEBÁCEAS e GLÂNDULAS SUDORÍPARAS) e seus ductos.
100 Equimose: Mancha escura ou azulada devido à infiltração difusa de sangue no tecido subcutâneo. A maioria aparece após um traumatismo, mas pode surgir espontaneamente em pessoas que apresentam fragilidade capilar ou alguma coagulopatia. Após um período de tempo variável, a equimose desaparece passando por diferentes gradações: violácea, acastanhada, esverdeada e amarelada.
101 Angina: Inflamação dos elementos linfáticos da garganta (amígdalas, úvula). Também é um termo utilizado para se referir à sensação opressiva que decorre da isquemia (falta de oxigênio) do músculo cardíaco (angina do peito).
102 Glândula: Estrutura do organismo especializada na produção de substâncias que podem ser lançadas na corrente sangüínea (glândulas endócrinas) ou em uma superfície mucosa ou cutânea (glândulas exócrinas). A saliva, o suor, o muco, são exemplos de produtos de glândulas exócrinas. Os hormônios da tireóide, a insulina e os estrógenos são de secreção endócrina.
103 Supra-renal:
104 Hiperglicemia: Excesso de glicose no sangue. Hiperglicemia de jejum é o nível de glicose acima dos níveis considerados normais após jejum de 8 horas. Hiperglicemia pós-prandial acima de níveis considerados normais após 1 ou 2 horas após alimentação.
105 Insulina: Hormônio que ajuda o organismo a usar glicose como energia. As células-beta do pâncreas produzem insulina. Quando o organismo não pode produzir insulna em quantidade suficiente, ela é usada por injeções ou bomba de insulina.
106 Hipotensão: Pressão sanguínea baixa ou queda repentina na pressão sanguínea. A hipotensão pode ocorrer quando uma pessoa muda rapidamente de uma posição sentada ou deitada para a posição de pé, causando vertigem ou desmaio.
107 Acidose metabólica: A acidose metabólica é uma acidez excessiva do sangue caracterizada por uma concentração anormalmente baixa de bicarbonato no sangue. Quando um aumento do ácido ultrapassa o sistema tampão de amortecimento do pH do organismo, o sangue pode acidificar-se. Quando o pH do sangue diminui, a respiração torna-se mais profunda e mais rápida, porque o corpo tenta liberar o excesso de ácido diminuindo o volume do anidrido carbônico. Os rins também tentam compensá-lo por meio da excreção de uma maior quantidade de ácido na urina. Contudo, ambos os mecanismos podem ser ultrapassados se o corpo continuar a produzir excesso de ácido, o que conduz a uma acidose grave e ao coma. A gasometria arterial é essencial para o seu diagnóstico. O pH está baixo (menor que 7,35) e os níveis de bicarbonato estão diminuídos (<24 mmol/l). Devido à compensação respiratória (hiperventilação), o dióxido de carbono está diminuído e o oxigênio está aumentado.
108 Sintomático: 1. Relativo a ou que constitui sintoma. 2. Que é efeito de alguma doença. 3. Por extensão de sentido, é o que indica um particular estado de coisas, de espírito; revelador, significativo.
109 Lavagem gástrica: É a introdução, através de sonda nasogástrica, de líquido na cavidade gástrica, seguida de sua remoção.
110 Eletrólitos: Em eletricidade, é um condutor elétrico de natureza líquida ou sólida, no qual cargas são transportadas por meio de íons. Em química, é uma substância que dissolvida em água se torna condutora de corrente elétrica.

Pergunte diretamente a um especialista

Sua pergunta será enviada aos especialistas do CatalogoMed, veja as dúvidas já respondidas.