DADOS DE SEGURANÇA PRÉ-CLÍNICOS ÁCIDO ZOLEDRÔNICO

Atualizado em 28/05/2016


Toxicidade1 aguda

A dose única não-letal intravenosa mais elevada foi de 10 mg/kg de peso corpóreo em camundongos e 0,6 mg/kg em ratos.

Toxicidade1 subcrônica e crônica

O ácido zoledrônico foi bem tolerado, quando administrado por via subcutânea2, em ratos e, por via intravenosa, em cães, em doses diárias de até 0,02 mg/kg, durante 4(quatro) semanas. A administração por até 52(cinquenta e duas) semanas, de 0,001 mg/kg/dia por via subcutânea2, em ratos e 0,005 mg/kg/dia por via intravenosa, em cães foi igualmente bem tolerada.

Toxicidade1 na reprodução3

O ácido zoledrônico demonstrou-se teratogênico4 no rato, em doses subcutâneas ≥ 0,2 mg/kg. Apesar de não ser observado teratogenicidade ou fetotoxicidade em coelhos, verificou-se toxicidade1 materna.

Potencial mutagênico e carcinogênico

O ácido zoledrônico não foi mutagênico nos testes de mutagenicidade realizados, e os testes de carcinogenicidade não forneceram quaisquer evidências de potencial carcinogênico.

Tolerância local

A tolerância local testada em coelhos mostrou que a administração intravenosa foi bem tolerada.


- RESULTADOS DE EFICÁCIA

Resultados dos estudos clínicos na prevenção de eventos relacionados ao esqueleto5, em pacientes, com tumores ósseos avançados:

Ácido zoledrônico foi comparado ao placebo6 na prevenção de eventos relacionados ao esqueleto5 (SREs), em pacientes com câncer7 de próstata8, 214(duzentos e quatorze) homens recebendo ácido zoledrônico 4 mg versus 208(duzentos e oito) homens recebendo placebo6. Após o tratamento inicial de 15(quinze) meses, 186(cento e oitenta e seis) pacientes continuaram por até 9(nove) meses adicionais, totalizando 24(vinte e quatro) meses de terapia duplocega.

Ácido zoledrônico 4 mg demonstrou vantagem significativa sobre o placebo6 na proporção de pacientes, apresentando no mínimo um evento relacionado ao esqueleto5 (SRE) (38% para ácido zoledrônico 4 mg versus 49% para placebo6, p = 0,028), prolongando a mediana do tempo até o primeiro SER [488(quatrocentos e oitenta e oito) dias para ácido zoledrônico 4 mg versus 321 dias para placebo6, p = 0,009], e reduzindo a incidência9 anual de eventos por paciente – taxa de morbidade10 esquelética (0,77 para ácido zoledrônico 4 mg versus 1,47 para placebo6, p = 0,005). A análise de múltiplos eventos mostrou uma redução de 36% no risco de desenvolvimento de eventos relacionados ao esqueleto5 no grupo, recebendo ácido zoledrônico comparado ao grupo, recebendo placebo6 (p = 0,002). A dor foi medida no início e periodicamente durante o estudo. Os pacientes recebendo ácido zoledrônico relataram menor aumento da dor do que aqueles recebendo placebo6, e as diferenças atingiram significância nos meses 3, 9, 21 e 24. Pacientes que receberam ácido zoledrônico apresentaram menos fraturas patológicas. Os resultados do tratamento foram menos acentuados em pacientes, com lesões11 blásticas. Os resultados de eficácia são fornecidos na Tabela 1.


Tabela 1. Resultados de eficácia (paciente com câncer7 da próstata8 tratados com terapêutica12 hormonal)


* Inclui fraturas vertebrais e não-vertebrais

** Representa todos os eventos relacionados ao esqueleto5, o número total bem como o tempo até cada evento, durante o estudo clínico.

NR Não Alcançado

NA Não Aplicável


Num segundo estudo, ácido zoledrônico reduziu o número de SREs e prolongou, em mais de dois meses, a mediana de tempo até um SRE na população de pacientes, com outros tumores, sólidos envolvendo os ossos, cuja mediana de sobrevida13 era de apenas seis meses [134(cento e trinta e quatro) pacientes com câncer7 de pulmão14 de não-pequenas células15 (NSCLC), 123(cento e vinte três) com outros tumores sólidos tratados com ácido zoledrônico versus 130(cento e trinta) pacientes com NSCLC, 120(cento e vinte) com outros tumores sólidos tratados com placebo6]. Após um tratamento inicial de 9(nove) meses, 101 (cento e um)pacientes foram admitidos na extensão de 12(doze) meses do estudo, e 26 (vinte e seis)completaram o total de 21(vinte e um) meses. Ácido zoledrônico 4 mg reduziu a proporção de pacientes com SREs (39% para ácido zoledrônico 4 mg versus 48% para placebo6, p = 0,039), prolongou a mediana de tempo até o primeiro SRE (236(duzentos e trinta e seis) dias para ácido zoledrônico 4 mg versus 155(cento e cinquenta e cinco) dias para placebo6, p = 0,009), e reduziu a incidência9 anual de eventos por paciente – taxa de morbidade10 esquelética (1,74 para ácido zoledrônico 4 mg versus 2,71 para placebo6, p = 0,012). A análise de múltiplos eventos mostrou uma redução de 30,7% no risco de desenvolvimento de eventos relacionados ao esqueleto5 no grupo, recebendo ácido zoledrônico comparado ao grupo, recebendo placebo6 (p = 0,003). O efeito do tratamento em pacientes com câncer7 de pulmão14 de não-pequenas células15 pareceu ser menor do que nos pacientes com outros tumores sólidos. Os resultados de eficácia são fornecidos na Tabela 2.


Tabela 2. Resultados de eficácia (pacientes com NSCLC e outros tumores sólidos)


* Inclui fraturas vertebrais e não-vertebrais

** Representa todos os eventos relacionados ao esqueleto5, o número total bem como o tempo até

cada evento, durante o estudo clínico.

NR Não Alcançado

NA Não Aplicável


Num terceiro estudo de fase III, randomizado16, duplo-cego, comparando ácido zoledrônico 4 mg a

pamidronato 90 mg, 1122(um mil, cento e vinte dois) pacientes [564(quinhentos e sessenta e quatro) recebendo ácido zoledrônico 4 mg e 558(quinhentos e cinquenta e oito) recebendo pamidronato 90 mg] com mieloma17 múltiplo, ou câncer7 de mama18, e com pelo menos uma lesão19 óssea, foram tratados com ácido zoledrônico 4 mg, ou pamidronato 90 mg a cada 3(três) a 4(quatro) semanas. Oito pacientes foram excluídos da análise de eficácia devido à não adesão às boas práticas clínicas. Seiscentos e seis pacientes foram admitidos na fase de extensão duplo-cega de 12(doze) meses. A terapia total teve duração de 24(vinte e quatro) meses. Os resultados demonstraram que ácido zoledrônico 4 mg mostrou eficácia comparável ao pamidronato 90 mg na prevenção de eventos relacionados ao esqueleto5. As análises de múltiplos eventos revelaram uma redução de risco significativa de 16% (p = 0,030) em pacientes tratados com ácido zoledrônico 4 mg. Os resultados de eficácia são fornecidos na Tabela 3.


Tabela 3. Resultados de eficácia (pacientes com câncer7 da mama18 e mieloma17 múltiplo)



* Inclui fraturas vertebrais e não-vertebrais

** Representa todos os eventos relacionados ao esqueleto5, o número total bem como o tempo até

cada evento, durante o estudo clínico.

NR Não Alcançado

NA Não Aplicável


Nos estudos clínicos realizados em pacientes, com metástases20 ósseas, ou lesões11 osteolíticas, o perfil de segurança global entre todos os grupos tratados (ácido zoledrônico 4 mg, pamidronato 90 mg e placebo6) foi semelhante no tipo e gravidade.

Ácido zoledrônico também foi estudado em um ensaio clínico placebo6-controlado, randomizado16, duplocego, em 228(duzentos e vinte e oito) pacientes, com metástases20 ósseas decorrentes de câncer7 de mama18, visando avaliar o efeito de ácido zoledrônico na razão da taxa de eventos relacionados ao esqueleto5 (ERE), calculado mediante do número total de eventos relacionados ao esqueleto5 (excluindo hipercalcemia e ajustado para fratura21 preexistente), dividido pelo período total de risco. Os pacientes receberam, tanto ácido zoledrônico 4 mg ou placebo6 a cada 4(quatro) semanas, por um ano, e foram distribuídos entre grupo tratado com ácido zoledrônico e grupo placebo6.

A razão da taxa de eventos relacionados ao esqueleto5 em um ano foi de 0,61, indicando que o tratamento com ácido zoledrônico reduziu a taxa de ocorrência de eventos relacionados ao esqueleto5 em 39% comparado com o grupo placebo6 (p = 0,027). A proporção de pacientes com pelo menos um evento relacionado ao esqueleto5 (excluindo hipercalcemia) foi de 29,8% no grupo tratado com ácido zoledrônico versus 49,6% no grupo placebo6 (p = 0,003). O tempo mediano para detecção do primeiro evento relacionado ao esqueleto5 no braço, em uso de ácido zoledrônico ao final do estudo não foi alcançado e foi significativamente prolongado quando comparado ao grupo placebo6 (p = 0,007). Ácido zoledrônico reduziu o risco de eventos relacionados ao esqueleto5 em 41%, em análises de evento múltiplo (razão de risco = 0,59, p = 0,019), quando comparado ao grupo placebo6.

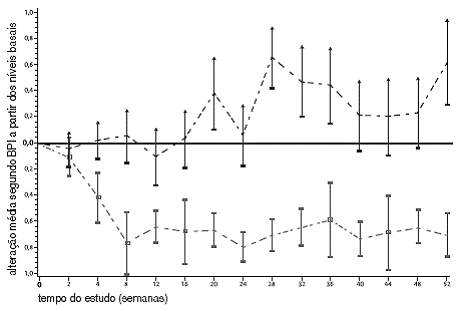
No grupo tratado com ácido zoledrônico, ocorreu redução dos escores de dor comparado ao nível basal (usando o BPI “Brief Pain Inventory”) a partir da quarta semana de tratamento e, a cada subseqüente avaliação, durante o estudo, enquanto que o escore de dor no grupo placebo6 não alterou, ou aumentou a partir do nível basal (Figura 1). Ácido zoledrônico inibiu a piora do escore analgésico22 mais que o grupo placebo6. Adicionalmente, 71,8% dos pacientes tratados com ácido zoledrônico versus 63,1% dos pacientes do grupo placebo6 demonstraram melhora, ou nenhuma alteração no índice de desempenho segundo ECOG (“Easter Cooperative Oncology Group”) na observação final.



Figura 1: Alteração média nos escores de dor, a partir dos níveis basais, segundo BPI (“Brief

Pain Inventory”) do grupo tratado em função do tempo de estudo.



Resultados de estudo clínico no tratamento da HIT (hipercalcemia induzida por tumor23):

Estudos clínicos na hipercalcemia induzida por tumor23 demonstraram que o efeito do ácido zoledrônico se caracteriza pela diminuição do cálcio sérico e da excreção urinária de cálcio. Para avaliar os efeitos de ácido zoledrônico versus pamidronato 90 mg, combinaram-se os resultados de dois estudos pivotais multicêntricos em pacientes, com hipercalcemia induzida por tumor23 (HIT), numa análise pré-planejada.

Os resultados mostraram que ácido zoledrônico 4 mg e 8 mg foram estatisticamente superiores ao pamidronato 90 mg, para a proporção de pacientes que respondem completamente, no 7º dia e 10° dia. Verificou-se uma normalização mais rápida do cálcio sérico corrigido no 4° dia para 8 mg de ácido zoledrônico e no 7° dia para 4 mg e 8 mg de ácido zoledrônico. Foram observadas as seguintes taxas de resposta: veja tabela 4.


Tabela 4. Proporção de respostas completas por dia nos estudos HIT combinados:


O tempo médio para atingir a normocalcemia foi de 4(quatro) dias. No 10º dia, a taxa de resposta foi de 87 a 88% para os grupos em tratamento, com ácido zoledrônico versus 70% para pamidronato 90 mg. O tempo médio para recidivas24 (retorno dos níveis do cálcio sérico corrigido pela albumina25 ≥ 2,9 mmol/L26) foi de 30(trinta) a 40(quarenta) dias para pacientes27 tratados com ácido zoledrônico versus 17(dezessete) dias para aqueles tratados com pamidronato 90 mg. Os resultados mostraram que o tempo para recaída em ambas as doses de ácido zoledrônico foi estatisticamente superior ao do pamidronato 90 mg. Não houve diferenças estatisticamente significativas entre as duas doses de ácido zoledrônico. Nos estudos clínicos realizados em pacientes com hipercalcemia induzida por tumor23, o perfil de segurança global entre todos os grupos tratados (ácido zoledrônico 4 e 8 mg e pamidronato 90 mg) foi semelhante no tipo e gravidade.


- INDICAÇÕES

 - Prevenção de eventos relacionados ao esqueleto5, como fraturas patológicas, compressão medular, radioterapia28 e cirurgia ortopédica, ou hipercalcemia induzida por tumor23, em pacientes com câncer7 metastático, para o osso.

 - Tratamento da hipercalcemia induzida por tumor23 (HIT).

 - Ácido zoledrônico também é indicado para prevenção da perda óssea decorrente do tratamento antineoplásico a base de hormônios em pacientes com câncer7 de próstata8 ou câncer7 de mama18.

Antes de consumir qualquer medicamento, consulte seu médico (http://www.catalogo.med.br).

Complementos

1 Toxicidade: Capacidade de uma substância produzir efeitos prejudiciais ao organismo vivo.
2 Subcutânea: Feita ou situada sob a pele; hipodérmica.
3 Reprodução: 1. Função pela qual se perpetua a espécie dos seres vivos. 2. Ato ou efeito de reproduzir (-se). 3. Imitação de quadro, fotografia, gravura, etc.
4 Teratogênico: Agente teratogênico ou teratógeno é tudo aquilo capaz de produzir dano ao embrião ou feto durante a gravidez. Estes danos podem se refletir como perda da gestação, malformações ou alterações funcionais ou ainda distúrbios neurocomportamentais, como retardo mental.
5 Esqueleto:
6 Placebo: Preparação neutra quanto a efeitos farmacológicos, ministrada em substituição a um medicamento, com a finalidade de suscitar ou controlar as reações, geralmente de natureza psicológica, que acompanham tal procedimento terapêutico.
7 Câncer: Crescimento anormal de um tecido celular capaz de invadir outros órgãos localmente ou à distância (metástases).
8 Próstata: Glândula que (nos machos) circunda o colo da BEXIGA e da URETRA. Secreta uma substância que liquefaz o sêmem coagulado. Está situada na cavidade pélvica (atrás da parte inferior da SÍNFISE PÚBICA, acima da camada profunda do ligamento triangular) e está assentada sobre o RETO.
9 Incidência: Medida da freqüência em que uma doença ocorre. Número de casos novos de uma doença em um certo grupo de pessoas por um certo período de tempo.
10 Morbidade: Morbidade ou morbilidade é a taxa de portadores de determinada doença em relação à população total estudada, em determinado local e em determinado momento.
11 Lesões: 1. Ato ou efeito de lesar (-se). 2. Em medicina, ferimento ou traumatismo. 3. Em patologia, qualquer alteração patológica ou traumática de um tecido, especialmente quando acarreta perda de função de uma parte do corpo. Ou também, um dos pontos de manifestação de uma doença sistêmica. 4. Em termos jurídicos, prejuízo sofrido por uma das partes contratantes que dá mais do que recebe, em virtude de erros de apreciação ou devido a elementos circunstanciais. Ou também, em direito penal, ofensa, dano à integridade física de alguém.
12 Terapêutica: Terapia, tratamento de doentes.
13 Sobrevida: Prolongamento da vida além de certo limite; prolongamento da existência além da morte, vida futura.
14 Pulmão: Cada um dos órgãos pareados que ocupam a cavidade torácica que tem como função a oxigenação do sangue.
15 Células: Unidades (ou subunidades) funcionais e estruturais fundamentais dos organismos vivos. São compostas de CITOPLASMA (com várias ORGANELAS) e limitadas por uma MEMBRANA CELULAR.
16 Randomizado: Ensaios clínicos comparativos randomizados são considerados o melhor delineamento experimental para avaliar questões relacionadas a tratamento e prevenção. Classicamente, são definidos como experimentos médicos projetados para determinar qual de duas ou mais intervenções é a mais eficaz mediante a alocação aleatória, isto é, randomizada, dos pacientes aos diferentes grupos de estudo. Em geral, um dos grupos é considerado controle – o que algumas vezes pode ser ausência de tratamento, placebo, ou mais frequentemente, um tratamento de eficácia reconhecida. Recursos estatísticos são disponíveis para validar conclusões e maximizar a chance de identificar o melhor tratamento. Esses modelos são chamados de estudos de superioridade, cujo objetivo é determinar se um tratamento em investigação é superior ao agente comparativo.
17 Mieloma: Variedade de câncer que afeta os linfócitos tipo B, encarregados de produzir imunoglobulinas. Caracteriza-se pelo surgimento de dores ósseas, freqüentemente a nível vertebral, anemia, insuficiência renal e um estado de imunodeficiência crônica.
18 Mama: Em humanos, uma das regiões pareadas na porção anterior do TÓRAX. As mamas consistem das GLÂNDULAS MAMÁRIAS, PELE, MÚSCULOS, TECIDO ADIPOSO e os TECIDOS CONJUNTIVOS.
19 Lesão: 1. Ato ou efeito de lesar (-se). 2. Em medicina, ferimento ou traumatismo. 3. Em patologia, qualquer alteração patológica ou traumática de um tecido, especialmente quando acarreta perda de função de uma parte do corpo. Ou também, um dos pontos de manifestação de uma doença sistêmica. 4. Em termos jurídicos, prejuízo sofrido por uma das partes contratantes que dá mais do que recebe, em virtude de erros de apreciação ou devido a elementos circunstanciais. Ou também, em direito penal, ofensa, dano à integridade física de alguém.
20 Metástases: Formação de tecido tumoral, localizada em um lugar distante do sítio de origem. Por exemplo, pode se formar uma metástase no cérebro originário de um câncer no pulmão. Sua gravidade depende da localização e da resposta ao tratamento instaurado.
21 Fratura: Solução de continuidade de um osso. Em geral é produzida por um traumatismo, mesmo que possa ser produzida na ausência do mesmo (fratura patológica). Produz como sintomas dor, mobilidade anormal e ruídos (crepitação) na região afetada.
22 Analgésico: Medicamento usado para aliviar a dor. As drogas analgésicas incluem os antiinflamatórios não-esteróides (AINE), tais como os salicilatos, drogas narcóticas como a morfina e drogas sintéticas com propriedades narcóticas, como o tramadol.
23 Tumor: Termo que literalmente significa massa ou formação de tecido. É utilizado em geral para referir-se a uma formação neoplásica.
24 Recidivas: 1. Em medicina, é o reaparecimento de uma doença ou de um sintoma, após período de cura mais ou menos longo; recorrência. 2. Em direito penal, significa recaída na mesma falta, no mesmo crime; reincidência.
25 Albumina: Proteína encontrada no plasma, com importantes funções, como equilíbrio osmótico, transporte de substâncias, etc.
26 Mmol/L: Milimols por litro, unidade de medida que mostra a concentração de uma substância em uma quantidade específica de fluido.
27 Para pacientes: Você pode utilizar este texto livremente com seus pacientes, inclusive alterando-o, de acordo com a sua prática e experiência. Conheça todos os materiais Para Pacientes disponíveis para auxiliar, educar e esclarecer seus pacientes, colaborando para a melhoria da relação médico-paciente, reunidos no canal Para Pacientes . As informações contidas neste texto são baseadas em uma compilação feita pela equipe médica da Centralx. Você deve checar e confirmar as informações e divulgá-las para seus pacientes de acordo com seus conhecimentos médicos.
28 Radioterapia: Método que utiliza diversos tipos de radiação ionizante para tratamento de doenças oncológicas.

Pergunte diretamente a um especialista

Sua pergunta será enviada aos especialistas do CatalogoMed, veja as dúvidas já respondidas.